GRE GRE Test Exam (page: 7)
GRE Graduate Record Examination Test: Verbal, Quantitative, Analytical Writing
Updated on: 15-Feb-2026

Viewing Page 7 of 75



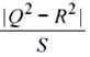
Let Q, R, and S be positive integers such that S is a factor of Q and R. Let



Which of the following is equal to ?

  1. |q - r|2
  2. |(q - r)(S)|2
  3. |q2 - r2|
  4. |(q2 - r2)(S)|
  5. |(q2 - r2)(S2)|

Answer(s): D

Explanation:

We are given that S is a factor of both Q and R, meaning that we can express Q and R in terms of S as:
Q = qS

R = rS

where q and r are integers.
We need to simplify the given expression:



Since Q = qS and R = rS,



S(q2 - r2), or |(q2 - r2)(S)|



The integer p is a prime number greater than 5, and 5 is a factor of p +p2.
What is the remainder when p is divided by 5?

  1. 0
  2. 1
  3. 2
  4. 3
  5. 4

Answer(s): E

Explanation:

We can express p + p2 as:
p + p2 = p(1 + p)
The problem states that 5 is a factor of p + p2, which means:
p(1 + p) 0 (mod 5)
This implies that p(1 + p) is divisible by 5. Since p is a prime number greater than 5, p is not divisible by 5.
Therefore, the factor of 5 must come from 1 + p.
We know that 1 + p must be divisible by 5. Thus, we have:
1 + p 0 (mod 5)
p -1 (mod 5)
Since -1 4 (mod 5), we conclude that:
p 4 (mod 5)



If n is an odd integer, which of the following must be an even integer?



  1. n + 2
  2. n2 + 3
  3. n2 + 2n

Answer(s): D

Explanation:

· Since n is odd, n - 1 is even. Dividing an even number by 2 results in an integer, but it could be odd or even depending on n.
· Since n is odd, n + 1 is even. Dividing an even number by 2 results in an integer, but it could be odd or even depending on n.
· Since n is odd, adding 2 results in an odd number.
· Since n is odd, squaring it keeps it odd, meaning n2 is odd. Adding 3 to an odd number results in an even number. This must be even.
· Since n is odd, n2 is odd. Since n is odd, multiplying it by 2 results in an even number. Adding an odd number (n2) and an even number (2n) results in an odd number.



If 0 < r < t and r = 50 - t, what is the greatest possible value of the median of r, t, and 28?

  1. 23
  2. 24
  3. 26
  4. 28
  5. 29

Answer(s): D

Explanation:

Since r = 50 - t, we substitute it into the inequality 0 < r < t:
1. 0 < 50 - t, which simplifies to t < 50.
2. 50 - t < t, which simplifies to
50 < 2t
25 < t
So, the range of t is 25 < t < 50.
The median is the middle number when r, t, and 28 are arranged in increasing order.
Since r = 50 - t, we note that r decreases as t increases.
Case 1: If t < 28
r = 50 - t would be greater than 28 because t is small.

The numbers in order are t, 28, r.

The median is 28.

Case 2: If t > 28
r = 50 - t would be less than 28 because t is large.

The numbers in order are r, 28, t.

The median is still 28.

From both cases, the median is always 28, regardless of the values of t and r.
The greatest possible value of the median is 28.



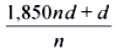
It costs d dollars to buy n nails. At this rate, what is the cost of n + 1,850 nails, in dollars?






Answer(s): E

Explanation:





Based on the information given, which of the following pairs of energy sources accounted for more than one- half of the world primary energy supply? (Choose all that apply.)

  1. Coal and oil
  2. Natural gas and oil
  3. Natural gas and nuclear power
  4. Natural gas and renewable sources

Answer(s): A,B

Explanation:

We sum the percentages for each pair:
· Coal and Oil: 24.4 + 34.4 = 58.8% More than 50%
· Natural Gas and Oil: 21.2 + 34.4 = 55.6% More than 50%
· Natural Gas and Nuclear Power: 21.2 + 6.5 = 27.7% Less than 50% · Natural Gas and Renewable Sources: 21.2 + 13.5 = 34.7% Less than 50%





What fraction of the world primary energy supply was from hydroelectric power or natural gas?






Answer(s): C

Explanation:





If the region representing nuclear power is a sector of a circle with radius x, which of the following is equal to the area of the sector?

  1. 0.065x2
  2. 0.0652x2
  3. 6.5x2
  4. (360)(0.0652)x2

Answer(s): E

Explanation:

According the formula for the area of a sector and since nuclear power represents 6.5% of total energy:



Viewing Page 7 of 75



Share your comments for GRE GRE Test exam with other users:

kanjoe 7/2/2023 11:40:00 AM

good questons
UNITED STATES


Mahmoud 7/6/2023 4:24:00 AM

i need the dumb of the hcip security v4.0 exam
EGYPT


Wei 8/3/2023 4:18:00 AM

upload the dump please
HONG KONG


Stephen 10/3/2023 6:24:00 PM

yes, iam looking this
AUSTRALIA


Stephen 8/4/2023 9:08:00 PM

please upload cima e2 managing performance dumps
Anonymous


hp 6/16/2023 12:44:00 AM

wonderful questions
Anonymous


Priyo 11/14/2023 2:23:00 AM

i used this site since 2000, still great to support my career
INDONESIA


Jude 8/29/2023 1:56:00 PM

why is the answer to "which of the following is required by scrum?" all of the following stated below since most of them are not mandatory? sprint retrospective. members must be stand up at the daily scrum. sprint burndown chart. release planning.
UNITED STATES


Marc blue 9/15/2023 4:11:00 AM

great job. hope this helps out.
UNITED STATES


Anne 9/13/2023 2:33:00 AM

upload please. many thanks!
Anonymous


pepe el toro 9/12/2023 7:55:00 PM

this is so interesting
Anonymous


Antony 11/28/2023 12:13:00 AM

great material thanks
AUSTRALIA


Thembelani 5/30/2023 2:22:00 AM

anyone who wrote this exam recently
Anonymous


P 9/16/2023 1:27:00 AM

ok they re good
Anonymous


Jorn 7/13/2023 5:05:00 AM

relevant questions
UNITED KINGDOM


AM 6/20/2023 7:54:00 PM

please post
UNITED STATES


Nagendra Pedipina 7/13/2023 2:22:00 AM

q:42 there has to be a image in the question to choose what does it mean from the options
INDIA


BrainDumpee 11/18/2023 1:36:00 PM

looking for cphq dumps, where can i find these for free? please and thank you.
UNITED STATES


sheik 10/14/2023 11:37:00 AM

@aarun , thanks for the information. it would be great help if you share your email
Anonymous


Random user 12/11/2023 1:34:00 AM

1z0-1078-23 need this dumps
Anonymous


labuschanka 11/16/2023 6:06:00 PM

i gave the microsoft azure az-500 tests and prepared from this site as it has latest mock tests available which helped me evaluate my performance and score 919/1000
Anonymous


Marianne 10/22/2023 11:57:00 PM

i cannot see the button to go to the questions
Anonymous


sushant 6/28/2023 4:52:00 AM

good questions
EUROPEAN UNION


A\MAM 6/27/2023 5:17:00 PM

q-6 ans-b correct. https://docs.paloaltonetworks.com/pan-os/9-1/pan-os-cli-quick-start/use-the-cli/commit-configuration-changes
UNITED STATES


unanimous 12/15/2023 6:38:00 AM

very nice very nice
Anonymous


akminocha 9/28/2023 10:36:00 AM

please help us with 1z0-1107-2 dumps
INDIA


Jefi 9/4/2023 8:15:00 AM

please upload the practice questions
Anonymous


Thembelani 5/30/2023 2:45:00 AM

need this dumps
Anonymous


Abduraimov 4/19/2023 12:43:00 AM

preparing for this exam is overwhelming. you cannot pass without the help of these exam dumps.
UNITED KINGDOM


Puneeth 10/5/2023 2:06:00 AM

new to this site but i feel it is good
EUROPEAN UNION


Ashok Kumar 1/2/2024 6:53:00 AM

the correct answer to q8 is b. explanation since the mule app has a dependency, it is necessary to include project modules and dependencies to make sure the app will run successfully on the runtime on any other machine. source code of the component that the mule app is dependent of does not need to be included in the exported jar file, because the source code is not being used while executing an app. compiled code is being used instead.
Anonymous


Merry 7/30/2023 6:57:00 AM

good questions
Anonymous


VoiceofMidnight 12/17/2023 4:07:00 PM

Delayed the exam until December 29th.
UNITED STATES


Umar Ali 8/29/2023 2:59:00 PM

A and D are True
Anonymous