GRE Graduate Record Examination Test: Verbal, Quantitative, Analytical Writing GRE Test Exam Questions in PDF

Free GRE GRE Test Dumps Questions (page: 9)



The sectors of the pie chart are to be reordered so that their sizes decrease when viewed consecutively in a clockwise direction starting with the largest. If the sectors are to be reordered by interchanging the positions of adjacent sectors, one interchange at a time, until the desired order is achieved, what is the minimum number of interchanges that will be required?

  1. Three
  2. Four
  3. Five
  4. Six
  5. Seven

Answer(s): E

Explanation:

From the pie chart, the sectors appear in this order (moving clockwise):
1. Instruction ($3,590)
2. Food Services and Other ($438)
3. Transportation ($245)
4. School Operation and Maintenance ($612)
5. Administration ($512)
6. Student Services ($504)
The correct order in decreasing size should be:
1. Instruction ($3,590)
2. School Operation and Maintenance ($612)
3. Administration ($512)
4. Student Services ($504)
5. Food Services and Other ($438)
6. Transportation ($245)
We now rearrange the sectors step by step by swapping adjacent sectors:
1. Swap Food Services and Other ($438) with School Operation and Maintenance ($612) New order:
Instruction, School Operation and Maintenance, Food Services and Other, Transportation, Administration,

Student Services
2. Swap Food Services and Other ($438) with Administration ($512) New order: Instruction, School Operation and Maintenance, Administration, Food Services and Other, Transportation, Student Services
3. Swap Food Services and Other ($438) with Student Services ($504) New order: Instruction, School Operation and Maintenance, Administration, Student Services, Food Services and Other, Transportation
4. Swap Transportation ($245) with Food Services and Other ($438) New order: Instruction, School Operation and Maintenance, Administration, Student Services, Transportation, Food Services and Other
5. Swap Transportation ($245) with Student Services ($504) New order: Instruction, School Operation and Maintenance, Administration, Transportation, Student Services, Food Services and Other
6. Swap Transportation ($245) with Administration ($512) New order: Instruction, School Operation and Maintenance, Transportation, Administration, Student Services, Food Services and Other
7. Swap Transportation ($245) with School Operation and Maintenance ($612) Final correct order:
Instruction, School Operation and Maintenance, Administration, Student Services, Food Services and Other, Transportation
The minimum number of adjacent interchanges required is seven.





According to the data in the graph, approximately what is the average (arithmetic mean) annual decrease from 1980 to 1995 in the list price of a Brand X microcomputer?

  1. $200
  2. $400
  3. $700
  4. $1,000
  5. $1,500

Answer(s): A

Explanation:

The average annual decrease is calculated as:



Price in 1980 = $5,000 (slightly above $5,000 as observed)
Price in 1995 = $2,000
Years between 1980 and 1995 = 1995 - 1980 = 15 years
Total decrease = Price in 1980 - Price in 1995 = 5000 - 2000 = 3000





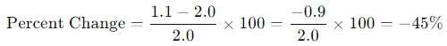
The graph shows the net income of a company for each of 6 years. For which of the following one-year time intervals was the percent increase or percent decrease in the net income greater than or equal to 50 percent? (Choose all that apply.)

  1. 1995-1996
  2. 1996-1997
  3. 1997-1998
  4. 1998-1999
  5. 1999-2000

Answer(s): A,C,E

Explanation:

To determine which one-year time intervals saw a percent increase or decrease in net income greater than or equal to 50%, we can use the formula for percent change:



Calculate the percent changes for each interval:
1. 1995-1996:
Net income in 1995 = 1.0 million

Net income in 1996 = 1.5 million




2. 1996-1997:
Net income in 1996 = 1.5 million

Net income in 1997 = 1.0 million



3. 1997-1998:
Net income in 1997 = 1.0 million

Net income in 1998 = 2.0 million



4. 1998-1999:
Net income in 1998 = 2.0 million

Net income in 1999 = 1.1 million



5. 1999-2000:
Net income in 1999 = 1.1 million

Net income in 2000 = 0.5 million



Determine which intervals have a percent change greater than or equal to 50% 1995-1996: 50% increase

1996-1997: -33.33% decrease (not greater than or equal to 50%)

1997-1998: 100% increase (greater than 50%)

1998-1999: -45% decrease (not greater than or equal to 50%)

1999-2000: -54.55% decrease (greater than 50% decrease)





The figure shows a normal distribution with mean m and standard deviation d, including approximate probabilities corresponding to the six intervals shown.

The distribution of the continuous random variable T is normal with mean 36.5. If P(36.5 < T < 43.9) = 0.475, which of the following is the best estimate of the standard deviation of the distribution of T?

  1. 1.8
  2. 3.7
  3. 7.4
  4. 11.1
  5. 14.8

Answer(s): B

Explanation:

The problem refers to a normal distribution where the mean is 36.5. The probability P(36.5 < T < 43.9) = 0.475 means that the area between 36.5 and 43.9 under the normal distribution curve is 0.475.
This is approximately the area under the curve between the mean and a value 7.4 units away from the mean (since 43.9 - 36.5 = 7.4). Thus, we are looking for an estimate of the standard deviation such that the area from the mean to 43.9 corresponds to approximately 0.475 of the total area.
In a standard normal distribution, the area between the mean and one standard deviation is approximately 0.3413. Since we are looking for the area from the mean to 43.9 (which is 7.4 units away), this distance is likely a multiple of the standard deviation.
From the chart and common normal distribution tables, a distance of 7.4 units corresponds approximately to 2 standard deviations in a standard normal distribution.
Since the distance from the mean (36.5) to 43.9 is 7.4 units, and this distance represents approximately 2 standard deviations, we can estimate the standard deviation d as:



The first term in sequence R is 5, and each succeeding term is 2 greater than the previous term.
What is the 83rd term in R?

  1. 90
  2. 123
  3. 147
  4. 169
  5. 171

Answer(s): D

Explanation:

The given sequence is an arithmetic sequence, where the first term a1 = 5, and the common difference d = 2.
The formula for the n-th term of an arithmetic sequence is:
an = a1 + (n - 1) × d a83 = 5 + (83 - 1) × 2

a83 = 5 + (83 - 1) × 2
a83 = 5 + 164
a83 = 169
Thus, the 83rd term in the sequence is 169.



The number of different subsets of 4 elements that can be selected from a set of 6 elements is 15. How many more different subsets of 4 elements can be selected from a set of 8 elements than from a set of 6 elements?

  1. 55
  2. 35
  3. 20
  4. 9
  5. 8

Answer(s): A

Explanation:



For each mountain bike that Pat sells, he earns a commission of $10 plus x percent of the selling price of the bike. If Pat earned a commission of $180 by selling 5 mountain bikes for a total selling price of $6,500, what is the value of x?

  1. 1
  2. 1.5
  3. 2
  4. 2.5
  5. 3

Answer(s): C

Explanation:

A fixed commission of $10 per bike, which for 5 bikes is:
10 × 5 = 50
An x percent commission on the total selling price of $6,500, which is:



Thus, the total commission equation is:



x = 2



A certain bag contains red balls, green balls, and blue balls and no other balls. The ratio of the number of red balls to the number of blue balls is 2:3, and the ratio of the number of blue balls to the number of green balls is
4:3. The number of blue balls in the bag is what fraction of the total number of balls in the bag?






Answer(s): B

Explanation:

1. The ratio of red balls to blue balls: 2:3
Let the number of red balls be 2x and the number of blue balls be 3x.
2. The ratio of blue balls to green balls: 4:3
Let the number of blue balls be 4y and the number of green balls be 3y.
Since both expressions represent the number of blue balls, we set them equal:
3x = 4y
Solving for x in terms of y:



Expressing all balls in terms of y:



· Red balls:
· Blue balls: 4y
· Green balls: 3y



Share your comments for GRE GRE Test exam with other users:

A
Anonymous User
4/13/2026 1:00:51 PM

Question 2:

  • Answer: D. Azure Advisor

  • Why: To view security-related recommendations for resources in the Compute and Apps area (including App Service Web Apps and Functions), you use Azure Advisor. Advisor surfaces personalized best-practice recommendations across resources, including security, and shows which resources are affected and the severity.

  • Why not the others:
- Azure Log Analytics is for ad-hoc querying of telemetry, not for viewing security recommendations. - Azure Event Hubs is for streaming telemetry data, not for security recommendations.
  • Quick tip: In the portal, navigate to Azure Advisor and check the Security recommendations for App Services to see actionable items and affe

D
Don
4/11/2026 5:36:42 AM

Recommend using AI for Solutions rather the Answer(s) submitted here

M
Mogae Malapela
4/8/2026 6:37:56 AM

This is very interesting

A
Anon
4/6/2026 5:22:54 PM

Are these the same questions you have to pay for in ExamTopics?

L
LRK
3/22/2026 2:38:08 PM

For Question 7 - while the answer description indicates the correct answer, the option no. mentioned is incorrect. Nice and Comprehensive. Thankyou

R
Rian
3/19/2026 9:12:10 AM

This is very good and accurate. Explanation is very helpful even thou some are not 100% right but good enough to pass.

G
Gerrard
3/18/2026 6:58:37 AM

The DP-900 exam can be tricky if you aren't familiar with Microsoft’s specific cloud terminology. I used the practice questions from free-braindumps.com and found them incredibly helpful. The site breaks down core data concepts and Azure services in a way that actually mirrors the real test. As a resutl I passed my exam.

V
Vineet Kumar
3/6/2026 5:26:16 AM

interesting

J
Joe
1/20/2026 8:25:24 AM

Passed this exam 2 days ago. These questions are in the exam. You are safe to use them.

N
NJ
12/24/2025 10:39:07 AM

Helpful to test your preparedness before giving exam

A
Ashwini
12/17/2025 8:24:45 AM

Really helped

J
Jagadesh
12/16/2025 9:57:10 AM

Good explanation

S
shobha
11/29/2025 2:19:59 AM

very helpful

P
Pandithurai
11/12/2025 12:16:21 PM

Question 1, Ans is - Developer,Standard,Professional Direct and Premier

E
Einstein
11/8/2025 4:13:37 AM

Passed this exam in first appointment. Great resource and valid exam dump.

D
David
10/31/2025 4:06:16 PM

Today I wrote this exam and passed, i totally relay on this practice exam. The questions were very tough, these questions are valid and I encounter the same.

T
Thor
10/21/2025 5:16:29 AM

Anyone used this dump recently?

V
Vladimir
9/25/2025 9:11:14 AM

173 question is A not D

K
khaos
9/21/2025 7:07:26 AM

nice questions

K
Katiso Lehasa
9/15/2025 11:21:52 PM

Thanks for the practice questions they helped me a lot.

E
Einstein
9/2/2025 7:42:00 PM

Passed this exam today. All questions are valid and this is not something you can find in ChatGPT.

V
vito
8/22/2025 4:16:51 AM

i need to pass exam for VMware 2V0-11.25

M
Matt
7/31/2025 11:44:40 PM

Great questions.

O
OLERATO
7/1/2025 5:44:14 AM

great dumps to practice for the exam

A
Adekunle willaims
6/9/2025 7:37:29 AM

How reliable and relevant are these questions?? also i can see the last update here was January and definitely new questions would have emerged.

A
Alex
5/24/2025 12:54:15 AM

Can I trust to this source?

S
SPriyak
3/17/2025 11:08:37 AM

can you please provide the CBDA latest test preparation

C
Chandra
11/28/2024 7:17:38 AM

This is the best and only way of passing this exam as it is extremely hard. Good questions and valid dump.

S
Sunak
1/25/2025 9:17:57 AM

Can I use this dumps when I am taking the exam? I mean does somebody look what tabs or windows I have opened ?

F
Frank
2/15/2024 11:36:57 AM

Finally got a change to write this exam and pass it! Valid and accurate!

A
Anonymous User
2/2/2024 6:42:12 PM

Upload this exam please!

N
Nicholas
2/2/2024 6:17:08 PM

Thank you for providing these questions. It helped me a lot with passing my exam.

T
Timi
8/19/2023 5:30:00 PM

my first attempt

B
Blessious Phiri
8/13/2023 10:32:00 AM

very explainable

AI Tutor 👋 I’m here to help!