GRE Graduate Record Examination Test: Verbal, Quantitative, Analytical Writing GRE Test Exam Questions in PDF

Free GRE GRE Test Dumps Questions (page: 1)

x is an even positive integer.

Quantity A
The number of odd positive integers less than x

Quantity B
The number of even positive integers less than x + 1

  1. Quantity A is greater.
  2. Quantity B is greater.
  3. The two quantities are equal.
  4. The relationship cannot be determined from the information given.

Answer(s): C

Explanation:

Since x is an even positive integer, we can assume x = 2k, where k is a positive integer.
Quantity A: The number of odd positive integers less than x is the number of odd integers from 1 to x - 1.
Since x is even, the odd integers are 1, 3, 5, ..., x - 1. There are k such odd integers, as every second integer is odd.
Quantity B: The number of even positive integers less than x + 1 is the number of even integers from 2 to x.
Since x is even, the even integers are 2, 4, 6, ..., x. There are k such even integers, as every second integer is even.



(2x - 1)(y - 4) = 0

Quantity A
xy

Quantity B
2

  1. Quantity A is greater.
  2. Quantity B is greater.
  3. The two quantities are equal.
  4. The relationship cannot be determined from the information given.

Answer(s): C

Explanation:

The equation (2x - 1)(y - 4) = 0 implies that either 2x - 1 = 0 or y - 4 = 0.
· If 2x - 1 = 0, then x = 1/2.
· If y - 4 = 0, then y = 4.
The possible values for x and y are x = 1/2 and y = 4. We now calculate the value of xy:



Quantity A is xy = 2, and Quantity B is also 2.





Lines l and m are parallel.

90 < c < 180

Quantity A
c

Quantity B
a + b

  1. Quantity A is greater.
  2. Quantity B is greater.
  3. The two quantities are equal.
  4. The relationship cannot be determined from the information given.

Answer(s): B

Explanation:

In the given image, lines l and m are parallel, and the angles a°, b°, and c° are formed by intersecting lines.
Given that 90° < c < 180°, it implies that c is an obtuse angle. The angles a and b are supplementary to c, meaning a + c = 180° and b + c = 180°, because they form linear pairs with the angle c.
Since c is between 90 and 180 degrees, a + b = 180°.
Quantity A is c, and Quantity B is a + b, which equals 180.





The semicircle has center O and radius r.

CF = OF
BD || AE

Quantity A
BD

Quantity B

  1. Quantity A is greater.
  2. Quantity B is greater.
  3. The two quantities are equal.
  4. The relationship cannot be determined from the information given.

Answer(s): D

Explanation:

· The semicircle has center O and radius r.
· CF = OF suggests that F is the midpoint of CO.
· BD || AE, meaning BD and AE are horizontal lines.
Since CF = OF, point F is the midpoint of CO. This means BD lies symmetrically within the semicircle. The exact length of BD is not explicitly defined, but it depends on the radius r of the semicircle and how high above O the segment BD is placed. The proportion of BD relative to AE could change based on the given radius and specific distances. Since the exact measurement of BD is unknown and no direct numerical comparison is provided, we cannot definitively determine the relationship between the two quantities.



In a survey of n families, x families had at least 1 child, and y families had at least 2 children.

Quantity A
The number of families in the survey that had exactly 1 child

Quantity B
x - y

  1. Quantity A is greater.
  2. Quantity B is greater.
  3. The two quantities are equal.
  4. The relationship cannot be determined from the information given.

Answer(s): C

Explanation:

Quantity A refers to the number of families that had exactly 1 child. This can be calculated as the difference between the number of families with at least 1 child (x) and the number of families with at least 2 children (y).
So, the number of families with exactly 1 child is x - y, which matches Quantity B.



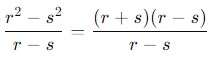
r > s

Quantity A
r + s

Quantity B

  1. Quantity A is greater.
  2. Quantity B is greater.
  3. The two quantities are equal.
  4. The relationship cannot be determined from the information given.

Answer(s): C

Explanation:

The expression in Quantity B can be simplified:



Since r > s, we can cancel out r - s in the numerator and denominator, leaving us with:
r + s





The two circles have centers at B and C, respectively, and are mutually tangent. Each circle has radius r.

Quantity A
The perimeter of quadrilateral ABCD

Quantity B
8r

  1. Quantity A is greater.
  2. Quantity B is greater.
  3. The two quantities are equal.
  4. The relationship cannot be determined from the information given.

Answer(s): A

Explanation:

The two circles are mutually tangent, meaning they touch at exactly one point.

Each circle has a radius r.

The quadrilateral ABCD consists of two segments (AB and CD) that are straight lines connecting the points where the circles touch the perimeter.
The total length of the perimeter of quadrilateral ABCD can be broken down as:
1. The sum of the lengths of the straight segments AB and CD (each equal to 2r because they are the sum of the radii of the two circles).
2. The length of the arc from the circumference of each circle: since each circle has a radius r, the circumference of each circle is 2r. Half of the circumference will be r, which is the arc length from B to C and from A to D.
Thus, the perimeter of quadrilateral ABCD is:
2r + 2r + r + r = 4r + 2r
Now, compare the two quantities: 4r + 2r (Quantity A) and 8r (Quantity B) Since 2 6.28, we know that 4r + 2r 4r + 6.28r = 10.28r, which is greater than 8r.



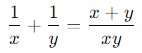
The product of the positive numbers x and y is less than the sum of x and y.

Quantity A
The sum of the reciprocal of x and the reciprocal of y

Quantity B
1

  1. Quantity A is greater.
  2. Quantity B is greater.
  3. The two quantities are equal.
  4. The relationship cannot be determined from the information given.

Answer(s): A

Explanation:

We are given the inequality:
xy < x + y
We need to compare:
Quantity A: The sum of the reciprocals of x and y, which is:



Quantity B: 1
From the given inequality xy < x + y, dividing both sides by xy (which is positive since x, y > 0) gives:



Share your comments for GRE GRE Test exam with other users:

K
kent
11/3/2023 10:45:00 AM

relevant questions

Q
Qasim
6/11/2022 9:43:00 AM

just clear exam on 10/06/2202 dumps is valid all questions are came same in dumps only 2 new questions total 46 questions 1 case study with 5 question no lab/simulation in my exam please check the answers best of luck

C
Cath
10/10/2023 10:09:00 AM

q.112 - correct answer is c - the event registry is a module that provides event definitions. answer a - not correct as it is the definition of event log

S
Shiji
10/15/2023 1:31:00 PM

good and useful.

A
Ade
6/25/2023 1:14:00 PM

good questions

P
Praveen P
11/8/2023 5:18:00 AM

good content

A
Anastasiia
12/28/2023 9:06:00 AM

totally not correct answers. 21. you have one gcp account running in your default region and zone and another account running in a non-default region and zone. you want to start a new compute engine instance in these two google cloud platform accounts using the command line interface. what should you do? correct: create two configurations using gcloud config configurations create [name]. run gcloud config configurations activate [name] to switch between accounts when running the commands to start the compute engine instances.

P
Priyanka
7/24/2023 2:26:00 AM

kindly upload the dumps

N
Nabeel
7/25/2023 4:11:00 PM

still learning

G
gure
7/26/2023 5:10:00 PM

excellent way to learn

C
ciken
8/24/2023 2:55:00 PM

help so much

B
Biswa
11/20/2023 9:28:00 AM

understand sql col.

S
Saint Pierre
10/24/2023 6:21:00 AM

i would give 5 stars to this website as i studied for az-800 exam from here. it has all the relevant material available for preparation. i got 890/1000 on the test.

R
Rose
7/24/2023 2:16:00 PM

this is nice.

A
anon
10/15/2023 12:21:00 PM

q55- the ridac workflow can be modified using flow designer, correct answer is d not a

N
NanoTek3
6/13/2022 10:44:00 PM

by far this is the most accurate exam dumps i have ever purchased. all questions are in the exam. i saw almost 90% of the questions word by word.

E
eriy
11/9/2023 5:12:00 AM

i cleared the az-104 exam by scoring 930/1000 on the exam. it was all possible due to this platform as it provides premium quality service. thank you!

M
Muhammad Rawish Siddiqui
12/8/2023 8:12:00 PM

question # 232: accessibility, privacy, and innovation are not data quality dimensions.

V
Venkat
12/27/2023 9:04:00 AM

looks wrong answer for 443 question, please check and update

V
Varun
10/29/2023 9:11:00 PM

great question

D
Doc
10/29/2023 9:36:00 PM

question: a user wants to start a recruiting posting job posting. what must occur before the posting process can begin? 3 ans: comment- option e is incorrect reason: as part of enablement steps, sap recommends that to be able to post jobs to a job board, a user need to have the correct permission and secondly, be associated with one posting profile at minimum

I
It‘s not A
9/17/2023 5:31:00 PM

answer to question 72 is d [sys_user_role]

I
indira m
8/14/2023 12:15:00 PM

please provide the pdf

R
ribrahim
8/1/2023 6:05:00 AM

hey guys, just to let you all know that i cleared my 312-38 today within 1 hr with 100 questions and passed. thank you so much brain-dumps.net all the questions that ive studied in this dump came out exactly the same word for word "verbatim". you rock brain-dumps.net!!! section name total score gained score network perimeter protection 16 11 incident response 10 8 enterprise virtual, cloud, and wireless network protection 12 8 application and data protection 13 10 network défense management 10 9 endpoint protection 15 12 incident d

A
Andrew
8/23/2023 6:02:00 PM

very helpful

L
latha
9/7/2023 8:14:00 AM

useful questions

I
ibrahim
11/9/2023 7:57:00 AM

page :20 https://exam-dumps.com/snowflake/free-cof-c02-braindumps.html?p=20#collapse_453 q 74: true or false: pipes can be suspended and resumed. true. desc.: pausing or resuming pipes in addition to the pipe owner, a role that has the following minimum permissions can pause or resume the pipe https://docs.snowflake.com/en/user-guide/data-load-snowpipe-intro

F
Franklin Allagoa
7/5/2023 5:16:00 AM

i want hcia exam dumps

S
SSA
12/24/2023 1:18:00 PM

good training

B
BK
8/11/2023 12:23:00 PM

very useful

D
Deepika Narayanan
7/13/2023 11:05:00 PM

yes need this exam dumps

B
Blessious Phiri
8/15/2023 3:31:00 PM

these questions are a great eye opener

J
Jagdesh
9/8/2023 8:17:00 AM

thank you for providing these questions and answers. they helped me pass my exam. you guys are great.

T
TS
7/18/2023 3:32:00 PM

good knowledge

AI Tutor 👋 I’m here to help!