GRE Graduate Record Examination Test: Verbal, Quantitative, Analytical Writing GRE Test Exam Questions in PDF

Free GRE GRE Test Dumps Questions (page: 3)

In a study of the size of frogs, group I consists of five frogs whose average (arithmetic mean) length is 4.7 centimeters. Group II consists of five frogs whose lengths are 4.3, 4.6, 4.7, 4.8, and 5.1 centimeters.

Quantity A
The standard deviation of the lengths of the five frogs in group I

Quantity B
The standard deviation of the lengths of the five frogs in group II

  1. Quantity A is greater.
  2. Quantity B is greater.
  3. The two quantities are equal.
  4. The relationship cannot be determined from the information given.

Answer(s): B

Explanation:

The standard deviation measures how spread out the values are from the mean. A higher spread results in a larger standard deviation.
Group I - All Frogs Have the Same Length:
· The average length in Group I is 4.7 cm.
· Since no specific lengths are given, we assume all five frogs have the same length of 4.7 cm.
· Since all values are equal to the mean (4.7), the deviations from the mean are all zero. Thus, the standard deviation of Group I is 0.
Group II - Variability Exists:
· The given lengths are 4.3, 4.6, 4.7, 4.8, and 5.1.
· These values are not all the same, meaning there is some spread.
· Since the values deviate from the mean, their standard deviation is greater than 0.





Quantity A
x + y

Quantity B
240

  1. Quantity A is greater.
  2. Quantity B is greater.
  3. The two quantities are equal.
  4. The relationship cannot be determined from the information given.

Answer(s): B

Explanation:

The shape resembles a rectangle with two diagonals forming a triangular flap at the top.
At the intersection of the two diagonals, we have three angles labeled x°, x°, and y°.
Since these three angles form a straight line at the vertex where they meet, they must sum to 180°:
x + x + y = 180
2x + y = 180
However, without an additional equation to find x, we cannot directly determine the exact value of x + y.
We only know that x + y < 180 (since x is a positive angle).
Since Quantity B is 240, and we determined that x + y < 180, it is clear that 240 is greater.



The area of circular region X is four times the area of a circular region with a radius of 3.

Quantity A
The radius of circular region X

Quantity B
6

  1. Quantity A is greater.
  2. Quantity B is greater.
  3. The two quantities are equal.
  4. The relationship cannot be determined from the information given.

Answer(s): C

Explanation:

The area of a circle is
A = r2
A = (32) = 9
Calculate the Area of Circular Region X:
Area of X = 4 × 9 = 36
Let r be the radius of circular region X. Using the area formula, we set up the equation:
r2 = 36
r2 = 36
r = 6



Integer m is a multiple of 15.

Quantity A
The remainder when 14m is divided by 6

Quantity B
0

  1. Quantity A is greater.
  2. Quantity B is greater.
  3. The two quantities are equal.
  4. The relationship cannot be determined from the information given.

Answer(s): C

Explanation:

m = 15k for some integer k.
14m = 14 × (15k) = 210k
First, simplify 210 mod 6:
210 ÷ 6 = 35 (exact division, remainder is 0)
Since 210k is always a multiple of 6 for any integer k, the remainder when 210k is divided by 6 is always 0.



x2y - xyz < 0

x < 0 and z > 0

Quantity A
x

Quantity B
y

  1. Quantity A is greater.
  2. Quantity B is greater.
  3. The two quantities are equal.
  4. The relationship cannot be determined from the information given.

Answer(s): D

Explanation:

x2y - xyz = xy(x - z) < 0
x2 is always positive for any real x.

z > 0 is given.

x < 0 is given.

(x - z) will be negative because x is negative and z is positive, meaning x - z < 0.

Thus, the inequality xy(x - z) < 0 holds only if y makes the product negative.
For the product xy(x - z) to be negative, we analyze the term xy:
Since x < 0, the sign of xy depends on y.

If y is positive, then xy is negative, making the product positive, which contradicts the inequality.

If y is negative, then xy is positive, and the product xy(x - z) < 0 holds true.

This means y must be negative.
Quantity A (x) is negative. Quantity B (y) is also negative.
Since we do not know the specific values of x and y, we cannot determine whether x > y or x < y.



Three people are in the process of reviewing 50 grant proposals. The numbers of proposals that each has reviewed so far are 32, 28, and 25, respectively.

Quantity A
The number of proposals that have been reviewed by at least 2 reviewers

Quantity B
32

  1. Quantity A is greater.
  2. Quantity B is greater.
  3. The two quantities are equal.
  4. The relationship cannot be determined from the information given.

Answer(s): A

Explanation:

The total number of reviews (not necessarily unique proposals) so far is:
32 + 28 + 25 = 85.
Since there are only 50 proposals in total, some must have been reviewed by multiple reviewers.
Each proposal is counted once when reviewed by one person, twice when reviewed by two people, and three times when reviewed by all three. The total possible unique proposals is at most 50, and the total reviews are 85.
The number of proposals that have been reviewed more than once is found by subtracting the total number of unique proposals from the total number of reviews:
85 - 50 = 35.
So, at least 35 proposals have been reviewed by at least two reviewers.
35 (Quantity A) > 32 (Quantity B)



Car X averaged 40 miles per hour for a 100-mile trip, and car Y averaged 50 miles per hour for a 130-mile trip.

Quantity A
The time it took car X to travel the 100-mile trip

Quantity B
The time it took car Y to travel the 130-mile trip

  1. Quantity A is greater.
  2. Quantity B is greater.
  3. The two quantities are equal.
  4. The relationship cannot be determined from the information given.

Answer(s): B

Explanation:



2.6 > 2.5



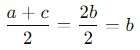
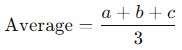
a < b < c

The average (arithmetic mean) of a, b, and c is equal to the median of a, b, and c.

Quantity A



Quantity B
b

  1. Quantity A is greater.
  2. Quantity B is greater.
  3. The two quantities are equal.
  4. The relationship cannot be determined from the information given.

Answer(s): C

Explanation:

We are told that a < b < c and that the average (arithmetic mean) of a, b, and c is equal to the median of a, b, and c.
The average of a, b, and c is:



Since b is the median (the middle value), the condition given in the problem tells us that:



a + b + c = 3b a + c = 2b



Share your comments for GRE GRE Test exam with other users:

C
Community Helper
4/25/2026 2:03:10 AM

Q23: Fabric Admin is correct. Because Domain admin cannot create domains. Only Fabric Admin can among the given options. Q51: Wrapping @pipeline.parameter.param1 inside {} will return a string. But question requires the expression to return Int, so correct answer should be @pipeline.parameter.param1 (no {})

A
AI Tutor Explanation
4/23/2026 3:07:03 PM

Question 62:

  • Correct answer: D (per the page)

  • Note: The explanation text on the page describes option B (use ZDX score and Analyze Score to trigger the Y Engine analysis), indicating a mismatch between the stated answer and the rationale.

  • Key concept: For fast root-cause analysis, leverage telemetry and auto-correlated insights:
- Use the user’s ZDX score for AWS and run Analyze Score to activate the Y Engine, which correlates metrics across network, client, and application to pinpoint the issue quickly.
  • Why the other options are less effective:
- A: Only checks for outages; doesn’t provide actionable root-cause analysis. - C: Deep Trace helps visibility but is manual and time-consuming. - D: Packet capture is invasive and slow; not the quickest path to root cause.

A
AI Tutor Explanation
4/23/2026 12:26:21 PM

Question 32:

  • Answer: A (2.4GHz)

  • Why: Lower-frequency signals have longer wavelengths and experience less attenuation when passing through walls and obstacles. Higher frequencies (5GHz, 6GHz) are more easily blocked by walls. NFC operates over very short distances and is not meant to penetrate walls. So 2.4 GHz best penetrates physical objects like walls.

A
AI Tutor Explanation
4/21/2026 8:48:36 AM

Question 3:

  • False is the correct answer (Option B).

Why:
  • In Snowflake, a database is a metadata object that exists within a single Snowflake account. Accounts are isolated—there isn’t one database that lives in multiple accounts.
  • You can access data across accounts via data sharing or database replication, but these create separate database objects in the other accounts (e.g., a database in the consumer account created from a share), not a single shared database across accounts.

So a single database cannot exist in more than one Snowflake account.

A
Anonymous User
4/16/2026 10:54:18 AM

Question 1:

  • Correct answer: Edate = sys.argv[1]
  • Why this is correct:
- When a Databricks Job passes parameters to a notebook, those parameters are supplied to the notebook's Python process as command-line arguments. The first argument after the script name is sys.argv[1], so date = sys.argv[1] captures the passed date value directly.
  • How it compares to other options:
- date = spark.conf.get("date") reads from Spark config, not from job parameters. - input() waits for user input at runtime, which isn’t how job parameters are provided. - date = dbutils.notebooks.getParam("date") would work if the notebook were invoked via dbutils.notebook.run with parameters, not

A
Anonymous User
4/15/2026 4:42:07 AM

Question 528:

  • Correct answer: NSG flow logs for NSG1 (Option B)

  • Why:
- Traffic Analytics uses NSG flow logs to analyze traffic patterns. You must have NSG flow logs enabled for the NSGs you want to monitor. - An Azure Log Analytics workspace is also required to store and query the traffic data. - Network Watcher must be available in the subscription for traffic analytics to function.
  • What to configure (brief steps):
- Ensure Network Watcher is enabled in the East US region (for the subscription/region). - Enable NSG flow logs on NSG1. - Ensure a Log Analytics workspace exists and is accessible (read/write) so Traffic Analytics can store and query logs.
  • Why other options aren’t correct:
- “Diagnostic settings for VM1” or “Diagnostic settings for NSG1” alone don’t guarantee flow logs are captured and sent to Log Analytics, which Traffic Analytics relies on. - “Insights for VM1” is not how Traffic Analytics collects traffic data.

A
Anonymous User
4/15/2026 2:43:53 AM

Question 23:
The correct answer is Domain admin (option B), not Fabric admin.

  • Domain admin provides domain-level management: create domains/subdomains and assign workspaces within those domains, which matches the tasks while following least privilege.
  • Fabric admin is global-level access and is more privileges than needed for this scenario (it would grant broader control across the Fabric environment).

A
Anonymous User
4/14/2026 12:31:34 PM

Question 2:
For question 2, the key concept is the Longest Prefix Match. Routers pick the route whose subnet mask is the most specific (largest prefix length) that still matches the destination IP.
From the options:

  • A) 10.10.10.0/28 ? 10.10.10.0–10.10.10.15
  • B) 10.10.13.0/25 ? 10.10.13.0–10.10.13.127
  • C) 10.10.13.144/28 ? 10.10.13.144–10.10.13.159
  • D) 10.10.13.208/29 ? 10.10.13.208–10.10.13.215

The destination Host A’s IP must fall within 10.10.13.208–10.10.13.215 for the /29 to be the best match. Since /29 is the longest prefix among the matching options, Router1 will use 10.10.13.208/29.
Thus, the correct answer is D.

S
srameh
4/14/2026 10:09:29 AM

Question 3:

  • Correct answer: Phase 4, Post Accreditation

  • Explanation:
- In DITSCAP, the four phases are: - Phase 1: Definition (concept and requirements) - Phase 2: Verification (design and testing) - Phase 3: Validation (fielding and evaluation) - Phase 4: Post Accreditation (ongoing operations and lifecycle management) - The description—continuing operation of an accredited IT system and addressing changing threats throughout its life cycle—fits the Post Accreditation phase, which covers operations, maintenance, monitoring, and reauthorization as threats and environment evolve.

O
onibokun10
4/13/2026 7:50:14 PM

Question 129:
Correct answer: CNAME

  • A CNAME record creates an alias for a domain, so newapplication.comptia.org will resolve to whatever IP address www.comptia.org resolves to. This ensures both names point to the same resource without duplicating the IP.
  • Why not the others:
- SOA defines authoritative information for a zone. - MX specifies mail exchange servers. - NS designates name servers for a zone.
  • Notes: The alias name (newapplication.comptia.org) should not have other records if you use a CNAME for it, and CNAMEs aren’t used for the zone apex (root) domain. This scenario uses a subdomain, so a CNAME is appropriate.

A
Anonymous User
4/13/2026 6:29:58 PM

Question 1:

  • Correct answer: C

  • Why this is best:
- Uses OS Login with IAM, so SSH access is granted via Google accounts rather than distributing per-user SSH keys. - Granting the compute.osAdminLogin role to a Google group gives admin access to all team members in a centralized, auditable way. - Access is auditable: Cloud Audit Logs show who accessed which VM, satisfying the security requirement to determine who accessed a given instance.
  • How it works:
- Enable OS Login on the project/instances (enable-oslogin metadata). - Add the team’s

A
Anonymous User
4/13/2026 1:00:51 PM

Question 2:

  • Answer: D. Azure Advisor

  • Why: To view security-related recommendations for resources in the Compute and Apps area (including App Service Web Apps and Functions), you use Azure Advisor. Advisor surfaces personalized best-practice recommendations across resources, including security, and shows which resources are affected and the severity.

  • Why not the others:
- Azure Log Analytics is for ad-hoc querying of telemetry, not for viewing security recommendations. - Azure Event Hubs is for streaming telemetry data, not for security recommendations.
  • Quick tip: In the portal, navigate to Azure Advisor and check the Security recommendations for App Services to see actionable items and affe

D
Don
4/11/2026 5:36:42 AM

Recommend using AI for Solutions rather the Answer(s) submitted here

M
Mogae Malapela
4/8/2026 6:37:56 AM

This is very interesting

A
Anon
4/6/2026 5:22:54 PM

Are these the same questions you have to pay for in ExamTopics?

L
LRK
3/22/2026 2:38:08 PM

For Question 7 - while the answer description indicates the correct answer, the option no. mentioned is incorrect. Nice and Comprehensive. Thankyou

R
Rian
3/19/2026 9:12:10 AM

This is very good and accurate. Explanation is very helpful even thou some are not 100% right but good enough to pass.

G
Gerrard
3/18/2026 6:58:37 AM

The DP-900 exam can be tricky if you aren't familiar with Microsoft’s specific cloud terminology. I used the practice questions from free-braindumps.com and found them incredibly helpful. The site breaks down core data concepts and Azure services in a way that actually mirrors the real test. As a resutl I passed my exam.

V
Vineet Kumar
3/6/2026 5:26:16 AM

interesting

J
Joe
1/20/2026 8:25:24 AM

Passed this exam 2 days ago. These questions are in the exam. You are safe to use them.

N
NJ
12/24/2025 10:39:07 AM

Helpful to test your preparedness before giving exam

A
Ashwini
12/17/2025 8:24:45 AM

Really helped

J
Jagadesh
12/16/2025 9:57:10 AM

Good explanation

S
shobha
11/29/2025 2:19:59 AM

very helpful

P
Pandithurai
11/12/2025 12:16:21 PM

Question 1, Ans is - Developer,Standard,Professional Direct and Premier

E
Einstein
11/8/2025 4:13:37 AM

Passed this exam in first appointment. Great resource and valid exam dump.

D
David
10/31/2025 4:06:16 PM

Today I wrote this exam and passed, i totally relay on this practice exam. The questions were very tough, these questions are valid and I encounter the same.

T
Thor
10/21/2025 5:16:29 AM

Anyone used this dump recently?

V
Vladimir
9/25/2025 9:11:14 AM

173 question is A not D

K
khaos
9/21/2025 7:07:26 AM

nice questions

K
Katiso Lehasa
9/15/2025 11:21:52 PM

Thanks for the practice questions they helped me a lot.

E
Einstein
9/2/2025 7:42:00 PM

Passed this exam today. All questions are valid and this is not something you can find in ChatGPT.

V
vito
8/22/2025 4:16:51 AM

i need to pass exam for VMware 2V0-11.25

M
Matt
7/31/2025 11:44:40 PM

Great questions.

AI Tutor 👋 I’m here to help!