GRE GRE Test Exam (page: 5)
GRE Graduate Record Examination Test: Verbal, Quantitative, Analytical Writing
Updated on: 15-Feb-2026

Viewing Page 5 of 75

Quantity A
The product of two consecutive odd integers

Quantity B
0

  1. Quantity A is greater.
  2. Quantity B is greater.
  3. The two quantities are equal.
  4. The relationship cannot be determined from the information given.

Answer(s): D

Explanation:

Let the two consecutive odd integers be x and x + 2, where x is an odd integer.
The product of the two consecutive odd integers is:
x(x + 2) = x2 + 2x
Compare the Product with 0:
If both integers are positive, their product is positive (greater than 0).

If both integers are negative, their product is also positive (greater than 0).

If one of the integers is 0, then their product is 0, but this is impossible since they are odd integers.

If one integer is negative and the other is positive, their product is negative (less than 0).

Thus, the product can be either positive or negative, depending on whether the integers are both positive or have opposite signs.
Since the product can be greater than or less than 0 based on the values of the integers, we cannot determine a fixed relationship.



In a competition, a certain contestant scored either 2 points or 4 points in each round of the competition. This contestant's average (arithmetic mean) score for the entire competition was 3.8 points per round.

Quantity A
9 times the number of rounds in which the contestant scored 2 points

Quantity B
The number of rounds in which the contestant scored 4 points

  1. Quantity A is greater.
  2. Quantity B is greater.
  3. The two quantities are equal.
  4. The relationship cannot be determined from the information given.

Answer(s): C

Explanation:

Let the number of rounds in which the contestant scored 2 points be denoted as x, and the number of rounds in which the contestant scored 4 points be denoted as y.
We know that the average score for the entire competition is 3.8 points per round. The total number of rounds is x + y, and the total score is 2x + 4y.
The average score is the total score divided by the total number of rounds:



2x + 4y = 3.8(x + y)
2x + 4y = 3.8x + 3.8y
2x - 3.8x = 3.8y - 4y
-1.8x = -0.2y
9x = y
Quantity B (y = 9x) is equal to Quantity A (9x).





In the rectangular coordinate plane, (x, y) is point on the circle with center O and radius 1, and xy 0.

Quantity A
|x3 + y3|

Quantity B
1

  1. Quantity A is greater.
  2. Quantity B is greater.
  3. The two quantities are equal.
  4. The relationship cannot be determined from the information given.

Answer(s): D

Explanation:

In the given diagram, the point (x, y) lies on a circle centered at O with a radius of 1. This means that the coordinates (x, y) satisfy the equation of the circle:
x2 + y2 = 1
We can use the identity for the sum of cubes:
x3 + y3 = (x + y)(x2 - xy + y2)
x3 + y3 = (x + y)(1 - xy)
We know that xy 0, so x and y cannot be zero, but we do not have specific values for x and y. The value of x + y and xy could vary, affecting x3 + y3. Therefore, we cannot definitively determine the exact value of |x3 + y3| relative to 1 without more information about the specific values of x and y.
The relationship between |x3 + y3| and 1 cannot be determined from the given information.



Parallelogram ABCD has adjacent sides of lengths 10 and 16.

Quantity A
The area of the region enclosed by ABCD

Quantity B
155

  1. Quantity A is greater.
  2. Quantity B is greater.
  3. The two quantities are equal.
  4. The relationship cannot be determined from the information given.

Answer(s): D

Explanation:

In a parallelogram, the area can be calculated using the formula:
Area = base × height
Here, we are given the lengths of two adjacent sides of parallelogram ABCD: 10 and 16. However, to calculate the area, we also need the height, which is the perpendicular distance between the parallel sides.
Since the height is not provided, we cannot determine the area of the parallelogram exactly from the given information. The area could vary depending on the angle between the sides.





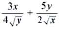
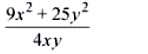
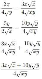
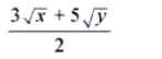
If x > 0 and y > 0, which of the following expressions is equivalent to ?






Answer(s): D

Explanation:



The least common denominator is





If what is the value of 9x2 - 4y2?

  1. 0
  2. 1
  3. 2
  4. 4
  5. 5

Answer(s): A

Explanation:



9x2 - 4y2 = 1 - 1 = 0



1/5 of 1 percent of x equals

  1. 0.21x
  2. 0.201x
  3. 0.2x
  4. 0.02x
  5. 0.002x

Answer(s): E

Explanation:



When the positive integer w is divided by 13, the remainder is 1, and when w is divided by 15, the remainder is
14.
Which of the following is a possible value for w?

  1. 14
  2. 27
  3. 29
  4. 40
  5. 44

Answer(s): A

Explanation:

When the positive integer w is divided by 13, the remainder is 1:
w 1 (mod 13)
When w is divided by 15, the remainder is 14:
w 14 (mod 13)
We need to find a value of w that satisfies both conditions.
From the first condition, w 1 (mod 13) can be written as:
w = 13k + 1 for some integer k.
From the second condition, w 14 (mod 13) can be written as:
w = 15m + 14 for some integer m.
Now, set the two expressions for w equal to each other:
13k + 1 = 15m + 14.
13k - 15m = 13.
We need to find integer solutions to the equation 13k - 15m = 13. We can try different integer values for k and check if m is also an integer.
Try k = 1:
13(1) - 15m = 13 13 - 15m = 13 -15m = 0 m = 0.
Thus, k = 1 and m = 0 is a solution. Using k = 1, we find:
w = 13(1) + 1 = 14
Now, check if w = 14 satisfies both conditions:
When 14 is divided by 13, the remainder is 1, which satisfies the first condition.

When 14 is divided by 15, the remainder is 14, which satisfies the second condition.

Thus, w = 14 is a valid solution.



Viewing Page 5 of 75



Share your comments for GRE GRE Test exam with other users:

Sunak 1/25/2025 9:17:57 AM

Can I use this dumps when I am taking the exam? I mean does somebody look what tabs or windows I have opened ?
BULGARIA


Frank 2/15/2024 11:36:57 AM

Finally got a change to write this exam and pass it! Valid and accurate!
CANADA


Anonymous User 2/2/2024 6:42:12 PM

Upload this exam please!
Anonymous


Nicholas 2/2/2024 6:17:08 PM

Thank you for providing these questions. It helped me a lot with passing my exam.
Anonymous


Timi 8/19/2023 5:30:00 PM

my first attempt
UNITED KINGDOM


Blessious Phiri 8/13/2023 10:32:00 AM

very explainable
Anonymous


m7md ibrahim 5/26/2023 6:21:00 PM

i think answer of q 462 is variance analysis
Anonymous


Tehu 5/25/2023 12:25:00 PM

hi i need see questions
Anonymous


Ashfaq Nasir 1/17/2024 1:19:00 AM

best study material for exam
Anonymous


Roberto 11/27/2023 12:33:00 AM

very interesting repository
ITALY


Nale 9/18/2023 1:51:00 PM

american history 1
Anonymous


Tanvi 9/27/2023 4:02:00 AM

good level of questions
Anonymous


Boopathy 8/17/2023 1:03:00 AM

i need this dump kindly upload it
Anonymous


s_123 8/12/2023 4:28:00 PM

do we need c# coding to be az204 certified
Anonymous


Blessious Phiri 8/15/2023 3:38:00 PM

excellent topics covered
Anonymous


Manasa 12/5/2023 3:15:00 AM

are these really financial cloud questions and answers, seems these are basic admin question and answers
Anonymous


Not Robot 5/14/2023 5:33:00 PM

are these comments real
Anonymous


kriah 9/4/2023 10:44:00 PM

please upload the latest dumps
UNITED STATES


ed 12/17/2023 1:41:00 PM

a company runs its workloads on premises. the company wants to forecast the cost of running a large application on aws. which aws service or tool can the company use to obtain this information? pricing calculator ... the aws pricing calculator is primarily used for estimating future costs
UNITED STATES


Muru 12/29/2023 10:23:00 AM

looks interesting
Anonymous


Tech Lady 10/17/2023 12:36:00 PM

thanks! that’s amazing
Anonymous


Mike 8/20/2023 5:12:00 PM

the exam dumps are helping me get a solid foundation on the practical techniques and practices needed to be successful in the auditing world.
UNITED STATES


Nobody 9/18/2023 6:35:00 PM

q 14 should be dmz sever1 and notepad.exe why does note pad have a 443 connection
Anonymous


Muhammad Rawish Siddiqui 12/4/2023 12:17:00 PM

question # 108, correct answers are business growth and risk reduction.
SAUDI ARABIA


Emmah 7/29/2023 9:59:00 AM

are these valid chfi questions
KENYA


Mort 10/19/2023 7:09:00 PM

question: 162 should be dlp (b)
EUROPEAN UNION


Eknath 10/4/2023 1:21:00 AM

good exam questions
INDIA


Nizam 6/16/2023 7:29:00 AM

I have to say this is really close to real exam. Passed my exam with this.
EUROPEAN UNION


poran 11/20/2023 4:43:00 AM

good analytics question
Anonymous


Antony 11/23/2023 11:36:00 AM

this looks accurate
INDIA


Ethan 8/23/2023 12:52:00 AM

question 46, the answer should be data "virtualization" (not visualization).
Anonymous


nSiva 9/22/2023 5:58:00 AM

its useful.
UNITED STATES


Ranveer 7/26/2023 7:26:00 PM

Pass this exam 3 days ago. The PDF version and the Xengine App is quite useful.
SOUTH AFRICA


Sanjay 8/15/2023 10:22:00 AM

informative for me.
UNITED STATES