GRE GRE Test Exam (page: 4)
GRE Graduate Record Examination Test: Verbal, Quantitative, Analytical Writing
Updated on: 12-Feb-2026

Viewing Page 4 of 75

Quantity A
The average (arithmetic mean) of the length and the width of a rectangle whose perimeter is 18

Quantity B

  1. Quantity A is greater.
  2. Quantity B is greater.
  3. The two quantities are equal.
  4. The relationship cannot be determined from the information given.

Answer(s): B

Explanation:

The perimeter P of a rectangle is given by the formula:
P = 2 × (length + width)
We are told that the perimeter is 18, so:
18 = 2 × (length + width)
length + width = 9
Quantity A asks for the average (arithmetic mean) of the length and the width, which is:



4.5 (Quantity A) < 5 (Quantity B)



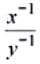
x-1y-1 > 0

Quantity A



Quantity B

  1. Quantity A is greater.
  2. Quantity B is greater.
  3. The two quantities are equal.
  4. The relationship cannot be determined from the information given.

Answer(s): D

Explanation:

This inequality implies that the product of the reciprocals of x and y is positive. This means both x-1 and y-1 must either both be positive or both be negative. In other words, x and y must have the same sign, meaning both x > 0 and y > 0, or both x < 0 and y < 0.
Quantity A



Quantity B



Since x and y have the same sign, we know that both quantities are positive, but we cannot definitively say which one is greater without knowing the exact values of x and y.



According to a certain model, the number of residents in City W, in thousands of people, n years from the present will be

0.1n2 + 20n + 1,000

Quantity A
The number of residents in City W 10 years from the present, according to the model

Quantity B

1,200,000

  1. Quantity A is greater.
  2. Quantity B is greater.
  3. The two quantities are equal.
  4. The relationship cannot be determined from the information given.

Answer(s): A

Explanation:

Substitute n = 10 into the formula:
Number of residents = 0.1(10)2 + 20(10) + 1,000.
Number of residents = 10 + 200 + 1,000 = 1,210.
This means the number of residents 10 years from the present is 1,210 thousand, or 1,210,000 people.
1,210,000 > 1,200,000



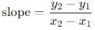
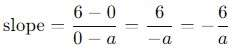
Line l in the xy-plane contains the points (a, 0) and (0, 6), where b < a < 0.

Quantity A
The slope of line l

Quantity B
-1

  1. Quantity A is greater.
  2. Quantity B is greater.
  3. The two quantities are equal.
  4. The relationship cannot be determined from the information given.

Answer(s): A

Explanation:

The formula for the slope of a line passing through two points (x1,y1) and (x2,y2) is:



For the points (a,0) and (0,6), the slope is:



We are given that b < a < 0, which means a is a negative number.
Since a is negative, the slope will be positive because dividing by a negative number changes the sign.
Now, we compare this slope with Quantity B, which is -1. The slope is positive and the magnitude of a is less than 6, implying a value greater than 1 for the slope.



Polygon P has n sides (n > 4).

Quantity A
180 more than the sum of the degree measures of the interior angles of P

Quantity B
The sum of the degree measures of the interior angles of a polygon with n + 1 sides

  1. Quantity A is greater.
  2. Quantity B is greater.
  3. The two quantities are equal.
  4. The relationship cannot be determined from the information given.

Answer(s): C

Explanation:

The sum of the interior angles of a polygon with n sides is given by the formula:
Sum of interior angles = 180(n - 2).
Quantity A asks for 180 more than the sum of the interior angles of polygon P, which has n sides. Using the formula for the sum of the interior angles, we get:
Quantity A = 180(n - 2) + 180 = 180n - 360 + 180 = 180n - 180.
Quantity B is the sum of the interior angles of a polygon with n + 1 sides. Using the formula for the sum of the interior angles for a polygon with n + 1 sides:
Quantity B = 180((n + 1) - 2) = 180(n - 1) = 180n - 180.



Of the 200 integers in a set, the 65th percentile is 20.

Quantity A
The arithmetic mean of the integers in the set

Quantity B
20

  1. Quantity A is greater.
  2. Quantity B is greater.
  3. The two quantities are equal.
  4. The relationship cannot be determined from the information given.

Answer(s): D

Explanation:

The 65th percentile of a set means that 65% of the numbers in the set are less than or equal to the given value, which in this case is 20. This means that 130 out of the 200 integers in the set are less than or equal to 20, while the remaining 70 integers are greater than or equal to 20.
Understanding Quantity A
The arithmetic mean of a set is the sum of all numbers divided by the total number of numbers. The 65th percentile tells us how many numbers are above and below 20 but does not provide information about the actual values of those numbers. The mean depends on the distribution of all values in the set, and we do not have enough information to determine whether the mean is greater than, less than, or equal to 20.
Compare with Quantity B
Since we do not have the full distribution of numbers in the set, we cannot determine if the mean is greater than, less than, or equal to 20. For example, if the numbers above 20 are much larger, the mean could be greater than 20. If the numbers are more evenly spread, the mean could be equal to or less than 20.
Because the relationship between the mean and 20 depends on the distribution of the numbers, we do not have enough information to determine that relationship.



Quantity A



Quantity B
2-54

  1. Quantity A is greater.
  2. Quantity B is greater.
  3. The two quantities are equal.
  4. The relationship cannot be determined from the information given.

Answer(s): C

Explanation:

227 - 224 = 224(23 - 1) = 224(8 - 1) = 224 × 7
827 = (23)27 = 281
826 = (23)26 = 278
281 - 278 = 278(23 - 1) = 278(8 - 1) = 278 × 7



224-78 = 2-54



The sum of -5 and k equals m2.

Quantity A
k

Quantity B
4

  1. Quantity A is greater.
  2. Quantity B is greater.
  3. The two quantities are equal.
  4. The relationship cannot be determined from the information given.

Answer(s): D

Explanation:

-5 + k = m2
k = m2 + 5
m2 + 5 vs 4
m2 + 5 > 4 m2 > -1
Since m2 is always non-negative (because it is a square of a real number), we always have:
m2 0
k = m2 + 5 5
Since k 5, it' is possible that k > 4, but we cannot conclude if k is always greater that 4 without knowing specific values for m.



Viewing Page 4 of 75



Share your comments for GRE GRE Test exam with other users:

Prasana 6/23/2023 1:59:00 AM

please post the questions for preparation
Anonymous


test user 9/24/2023 3:15:00 AM

thanks for the questions
AUSTRALIA


Draco 7/19/2023 5:34:00 AM

please reopen it now ..its really urgent
UNITED STATES


Megan 4/14/2023 5:08:00 PM

these practice exam questions were exactly what i needed. the variety of questions and the realistic exam-like environment they created helped me assess my strengths and weaknesses. i felt more confident and well-prepared on exam day, and i owe it to this exam dumps!
UNITED KINGDOM


abdo casa 8/9/2023 6:10:00 PM

thank u it very instructuf
Anonymous


Danny 1/15/2024 9:10:00 AM

its helpful?
INDIA


hanaa 10/3/2023 6:57:00 PM

is this dump still valid???
Anonymous


Georgio 1/19/2024 8:15:00 AM

question 205 answer is b
Anonymous


Matthew Dievendorf 5/30/2023 9:37:00 PM

question 39, should be answer b, directions stated is being sudneted from /21 to a /23. a /23 has 512 ips so 510 hosts. and can make 4 subnets out of the /21
Anonymous


Adhithya 8/11/2022 12:27:00 AM

beautiful test engine software and very helpful. questions are same as in the real exam. i passed my paper.
UNITED ARAB EMIRATES


SuckerPumch88 4/25/2022 10:24:00 AM

the questions are exactly the same in real exam. just make sure not to answer all them correct or else they suspect you are cheating.
UNITED STATES


soheib 7/24/2023 7:05:00 PM

question: 78 the right answer i think is d not a
Anonymous


srija 8/14/2023 8:53:00 AM

very helpful
EUROPEAN UNION


Thembelani 5/30/2023 2:17:00 AM

i am writing this exam tomorrow and have dumps
Anonymous


Anita 10/1/2023 4:11:00 PM

can i have the icdl excel exam
Anonymous


Ben 9/9/2023 7:35:00 AM

please upload it
Anonymous


anonymous 9/20/2023 11:27:00 PM

hye when will post again the past year question for this h13-311_v3 part since i have to for my test tommorow…thank you very much
Anonymous


Randall 9/28/2023 8:25:00 PM

on question 22, option b-once per session is also valid.
Anonymous


Tshegofatso 8/28/2023 11:51:00 AM

this website is very helpful
SOUTH AFRICA


philly 9/18/2023 2:40:00 PM

its my first time exam
SOUTH AFRICA


Beexam 9/4/2023 9:06:00 PM

correct answers are device configuration-enable the automatic installation of webview2 runtime. & policy management- prevent users from submitting feedback.
NEW ZEALAND


RAWI 7/9/2023 4:54:00 AM

is this dump still valid? today is 9-july-2023
SWEDEN


Annie 6/7/2023 3:46:00 AM

i need this exam.. please upload these are really helpful
PAKISTAN


Shubhra Rathi 8/26/2023 1:08:00 PM

please upload the oracle 1z0-1059-22 dumps
Anonymous


Shiji 10/15/2023 1:34:00 PM

very good questions
INDIA


Rita Rony 11/27/2023 1:36:00 PM

nice, first step to exams
Anonymous


Aloke Paul 9/11/2023 6:53:00 AM

is this valid for chfiv9 as well... as i am reker 3rd time...
CHINA


Calbert Francis 1/15/2024 8:19:00 PM

great exam for people taking 220-1101
UNITED STATES


Ayushi Baria 11/7/2023 7:44:00 AM

this is very helpfull for me
Anonymous


alma 8/25/2023 1:20:00 PM

just started preparing for the exam
UNITED KINGDOM


CW 7/10/2023 6:46:00 PM

these are the type of questions i need.
UNITED STATES


Nobody 8/30/2023 9:54:00 PM

does this actually work? are they the exam questions and answers word for word?
Anonymous


Salah 7/23/2023 9:46:00 AM

thanks for providing these questions
Anonymous


Ritu 9/15/2023 5:55:00 AM

interesting
CANADA