GRE GRE Test Exam (page: 2)
GRE Graduate Record Examination Test: Verbal, Quantitative, Analytical Writing
Updated on: 31-Mar-2026

Viewing Page 2 of 75



In the xy-plane, line segment, RS is one of the sides of square RSTU (not shown).

Quantity A
The area of square RSTU

Quantity B
13

  1. Quantity A is greater.
  2. Quantity B is greater.
  3. The two quantities are equal.
  4. The relationship cannot be determined from the information given.

Answer(s): C

Explanation:

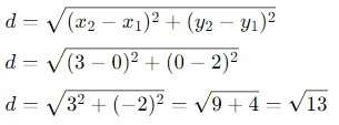
The given points are:
· R (0, 2)
· S (3, 0)
Since RS is one side of square RSTU, the side length of the square is d (the result of the distance formula):



Area = side length2



Quantity A



Quantity B

  1. Quantity A is greater.
  2. Quantity B is greater.
  3. The two quantities are equal.
  4. The relationship cannot be determined from the information given.

Answer(s): B

Explanation:





Seventy-five boxes of light bulbs were examined during a quality control check. The number of defective light bulbs per box and the corresponding frequency are given in the table.

Quantity A
The average (arithmetic mean) number of defective light bulbs per box for the 75 boxes

Quantity B
The median number of defective light bulbs per box for the 75 boxes

  1. Quantity A is greater.
  2. Quantity B is greater.
  3. The two quantities are equal.
  4. The relationship cannot be determined from the information given.

Answer(s): B

Explanation:

To calculate the average number of defective bulbs, we first compute the total number of defective bulbs in all 75 boxes:
For 0 defective bulbs: 35 × 0 = 0

For 1 defective bulb: 20 × 1 = 20

For 2 defective bulbs: 12 × 2 = 24

For 3 defective bulbs: 2 × 3 = 6

For 4 or more defective bulbs: 6 × 4 (using 4 as an estimate) = 24


Now, add all these values together:
0 + 20 + 24 + 6 + 24 = 74
The total number of defective bulbs is 74, and the total number of boxes is 75. So, the average number of defective bulbs per box is:



The median is the middle value in the data set when ordered. To find the median, we first determine the cumulative frequency:
Cumulative frequency for 0 defective bulbs: 35

Cumulative frequency for 1 defective bulb: 35 + 20 = 55

Cumulative frequency for 2 defective bulbs: 55 + 12 = 67

Cumulative frequency for 3 defective bulbs: 67 + 2 = 69

Cumulative frequency for 4 or more defective bulbs: 69 + 6 = 75

There are 75 boxes, so the median is the 38th value. From the cumulative frequency, we see that the 38th value falls in the range where there are 1 defective bulb, since the cumulative frequency for 0 defective bulbs is 35 and for 1 defective bulb is 55.
Thus, the median number of defective bulbs is 1.
Compare Quantity A and Quantity B
Quantity A: The average number of defective bulbs per box is approximately 0.987.

Quantity B: The median number of defective bulbs per box is 1.

Since 0.987 is less than 1, Quantity B is greater.



Quantity A
The number of different prime factors of 500

Quantity B
The number of different prime factors of 360

  1. Quantity A is greater.
  2. Quantity B is greater.
  3. The two quantities are equal.
  4. The relationship cannot be determined from the information given.

Answer(s): B

Explanation:

To compare the number of different prime factors of 500 and 360, we first need to find the prime factorization of each number.
For 500, start by dividing by 2:
500 ÷ 2 = 250
250 ÷ 2 = 125
Next, divide by 5:

125 ÷ 5 = 25
25 ÷ 5 = 5
5 ÷ 5 = 1
So, the prime factorization of 500 is:
500 = 22 × 53
The distinct prime factors are 2 and 5, meaning there are 2 different prime factors.
For 360, start by dividing by 2:
360 ÷ 2 = 180
180 ÷ 2 = 90
90 ÷ 2 = 45
Next, divide by 3:
45 ÷ 3 = 15
15 ÷ 3 = 5
Finally, divide by 5:
5 ÷ 5 = 1
The prime factorization of 360 is:
360 = 23 × 32 × 5.
The distinct prime factors are 2, 3, and 5, meaning there are 3 different prime factors.
Now, comparing the two quantities:
The number of different prime factors of 500 is 2.

The number of different prime factors of 360 is 3.

Since 2 is less than 3, the number of different prime factors of 360 is greater.





Point P is shown in the rectangular coordinate system.

Quantity A
The ratio of the x-coordinate of P to the y-coordinate of P

Quantity B
-1

  1. Quantity A is greater.
  2. Quantity B is greater.
  3. The two quantities are equal.
  4. The relationship cannot be determined from the information given.

Answer(s): C

Explanation:

Point P is in the second quadrant, and it is located along a dashed line that forms a 45-degree angle with the negative x-axis. In this case, the coordinates of P can be represented as (x, y).
Since the angle between the line and the negative x-axis is 45 degrees, the coordinates of P must satisfy the property that the absolute values of x and y are equal. Given that the point is in the second quadrant, the x- coordinate is negative and the y-coordinate is positive. This means x = -a and y = a for some positive value a.
Now, calculating the ratio of the x-coordinate to the y-coordinate: x divided by y = (-a) divided by a = -1.
Thus, Quantity A is -1. Quantity B is also given as -1.



1 kilogram is approximately equal to 2.2 pounds.

x < y

Quantity A
The number of pounds equal to x kilograms

Quantity B
The number of kilograms equal to y pounds

  1. Quantity A is greater.
  2. Quantity B is greater.
  3. The two quantities are equal.
  4. The relationship cannot be determined from the information given.

Answer(s): D

Explanation:

The number of pounds equal to xxx kilograms can be found by multiplying x by 2.2:
Quantity A = 2.2x
To convert y pounds to kilograms, we divide y by 2.2:



Since we are only given x < y, it does not directly establish a clear comparison between quantities because of the conversion factor. The inequality x < y does not necessarily imply that the converted values will have a strict relationship.



A box contains 10 red balls, 5 blue balls, and no other balls. Ann will randomly select, without replacement, 2 balls from the box.

Quantity A
The probability that Ann will select 2 red balls

Quantity B

  1. Quantity A is greater.
  2. Quantity B is greater.
  3. The two quantities are equal.
  4. The relationship cannot be determined from the information given.

Answer(s): C

Explanation:

The total number of balls in the box is:
10(red balls) + 5(blue balls) = 15(total balls)
The total number of ways to select 2 balls from 15 is given by the combination formula:



Now, the number of ways to select 2 red balls from the 10 red balls is:



Thus, the probability that Ann will select 2 red balls is:



Since both quantities are equal, we conclude that the two quantities are the same.



x is the units digit of the number 1114 - 1.

Quantity A
x

Quantity B
1

  1. Quantity A is greater.
  2. Quantity B is greater.
  3. The two quantities are equal.
  4. The relationship cannot be determined from the information given.

Answer(s): B

Explanation:

The units digit of powers of 11 repeats in a cycle. Let's examine the first few powers of 11:
111 = 11, so the units digit is 1.

112 = 121, so the units digit is 1.

113 = 1331, so the units digit is 1.

114 = 14641, so the units digit is 1.

We observe that the units digit of 11n for any positive integer n is always 1.
Since the units digit of 1114 is 1, the units digit of 1114 - 1 is:
1 - 1 = 0
Quantity A: The units digit of 1114 - 1, which is 0.

Quantity B: 1.

Since 0 < 1, Quantity B is greater.



Viewing Page 2 of 75



Share your comments for GRE GRE Test exam with other users:

Anchal 10/23/2023 4:01:00 PM

nice questions
INDIA


J Nunes 9/29/2023 8:19:00 AM

i need ielts general training audio guide questions
BRAZIL


Ananya 9/14/2023 5:16:00 AM

please make this content available
UNITED STATES


Swathi 6/4/2023 2:18:00 PM

content is good
Anonymous


Leo 7/29/2023 8:45:00 AM

latest dumps please
INDIA


Laolu 2/15/2023 11:04:00 PM

aside from pdf the test engine software is helpful. the interface is user-friendly and intuitive, making it easy to navigate and find the questions.
UNITED STATES


Zaynik 9/17/2023 5:36:00 AM

questions and options are correct, but the answers are wrong sometimes. so please check twice or refer some other platform for the right answer
Anonymous


Massam 6/11/2022 5:55:00 PM

90% of questions was there but i failed the exam, i marked the answers as per the guide but looks like they are not accurate , if not i would have passed the exam given that i saw about 45 of 50 questions from dump
Anonymous


Anonymous 12/27/2023 12:47:00 AM

answer to this question "what administrative safeguards should be implemented to protect the collected data while in use by manasa and her product management team? " it should be (c) for the following reasons: this administrative safeguard involves controlling access to collected data by ensuring that only individuals who need the data for their job responsibilities have access to it. this helps minimize the risk of unauthorized access and potential misuse of sensitive information. while other options such as (a) documenting data flows and (b) conducting a privacy impact assessment (pia) are important steps in data protection, implementing a "need to know" access policy directly addresses the issue of protecting data while in use by limiting access to those who require it for legitimate purposes. (d) is not directly related to safeguarding data during use; it focuses on data transfers and location.
INDIA


Japles 5/23/2023 9:46:00 PM

password lockout being the correct answer for question 37 does not make sense. it should be geofencing.
Anonymous


Faritha 8/10/2023 6:00:00 PM

for question 4, the righr answer is :recover automatically from failures
UNITED STATES


Anonymous 9/14/2023 4:27:00 AM

question number 4s answer is 3, option c. i
UNITED STATES


p das 12/7/2023 11:41:00 PM

very good questions
UNITED STATES


Anna 1/5/2024 1:12:00 AM

i am confused about the answers to the questions. are the answers correct?
KOREA REPUBLIC OF


Bhavya 9/13/2023 10:15:00 AM

very usefull
Anonymous


Rahul Kumar 8/31/2023 12:30:00 PM

need certification.
CANADA


Diran Ole 9/17/2023 5:15:00 PM

great exam prep
CANADA


Venkata Subbarao Bandaru 6/24/2023 8:45:00 AM

i require dump
Anonymous


D 7/15/2023 1:38:00 AM

good morning, could you please upload this exam again,
Anonymous


Ann 9/15/2023 5:39:00 PM

hi can you please upload the dumps for sap contingent module. thanks
AUSTRALIA


Sridhar 1/16/2024 9:19:00 PM

good questions
Anonymous


Summer 10/4/2023 9:57:00 PM

looking forward to the real exam
Anonymous


vv 12/2/2023 2:45:00 PM

good ones for exam preparation
UNITED STATES


Danny Zas 9/15/2023 4:45:00 AM

this is a good experience
UNITED STATES


SM 1211 10/12/2023 10:06:00 PM

hi everyone
UNITED STATES


A 10/2/2023 6:08:00 PM

waiting for the dump. please upload.
UNITED STATES


Anonymous 7/16/2023 11:05:00 AM

upload cks exam questions
Anonymous


Johan 12/13/2023 8:16:00 AM

awesome training material
NETHERLANDS


PC 7/28/2023 3:49:00 PM

where is dump
Anonymous


YoloStar Yoloing 10/22/2023 9:58:00 PM

q. 289 - the correct answer should be b not d, since the question asks for the most secure way to provide access to a s3 bucket (a single one), and by principle of the least privilege you should not be giving access to all buckets.
Anonymous


Zelalem Nega 5/14/2023 12:45:00 PM

please i need if possible h12-831,
UNITED KINGDOM


unknown-R 11/23/2023 7:36:00 AM

good collection of questions and solution for pl500 certification
UNITED STATES


Swaminathan 5/11/2023 9:59:00 AM

i would like to appear the exam.
Anonymous


Veenu 10/24/2023 6:26:00 AM

i am very happy as i cleared my comptia a+ 220-1101 exam. i studied from as it has all exam dumps and mock tests available. i got 91% on the test.
Anonymous