GRE Graduate Record Examination Test: Verbal, Quantitative, Analytical Writing GRE Test Exam Questions in PDF

Free GRE GRE Test Dumps Questions (page: 11)

A total of $48,000 was invested for one month in a new savings account that paid simple annual interest at the rate of r percent. If the investment earned $240 in interest for the month, what is the value of r?

  1. 5.0
  2. 5.5
  3. 6.0
  4. 6.5
  5. 7.0

Answer(s): C

Explanation:

The formula for simple interest is:
I = P × r × t where:
I is the interest earned,

P is the principal,

r is the annual interest rate (in decimal form),

t is the time in years.

We are told the interest earned is $240, the principal is $48,000, and the time is 1 month. Using the simple interest formula:



Since r = 0.06, the annual interest rate is:
r × 100 = 6%





A plot of land is to be divided into three smaller lots, as shown in the figure above. If the total length of the sides of the three lots along Main Street is 360 feet, what is the length, in feet, of the side of lot A that is along Main Street?

  1. 160
  2. 170
  3. 180
  4. 190
  5. 200

Answer(s): C

Explanation:

By drawing a vertical line from the midpoint of Broad Street to Main Street, we create a rectangle that consists of:
The left half (Lot A), which is a rectangle with a right triangle on top.

The right half (combination of Lots B and C).

This rectangle helps us break the large right triangle into two equal smaller right triangles.
Since the vertical red line divides Broad Street equally (150 ft on each side):
The right half (Lots B and C combined) is 150 ft.

The left half (Lot A) is also 150 ft.

Since the Broad Street split is equal, the Main Street split is also equal, meaning:



The length of Lot A along Main Street is 180 feet.



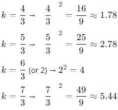
The area of a circle with radius c is less than the area of a square with sides of length kc.
Which of the following could be the value of k? (Choose all that apply.)





Answer(s): C,D

Explanation:

· Area of the circle = c2
· Area of the square = (kc)2 = k2c2
The inequality given in the problem is:
c2 < k2c2
Since c > 0:
< k2
Since is approximately 3.14, we need to find values of k such that:
k2 > 3.14
Check Each Answer Choice



Only 4 and 5.44 are greater than 3.14, so they are VALID.





The figure above shows four squares with sides of length 7, 5, 3, and 1, respectively. If r is the sum of the areas of the two shaded regions and s is the sum of the areas of the two unshaded regions, what is the ratio of r to s?

  1. 2 to 1
  2. 3 to 1
  3. 12 to 5
  4. 32 to 17
  5. 49 to 10

Answer(s): D

Explanation:

The area of a square is given by side length2:
For the square with side 7: Area=72 = 49

For the square with side 5: Area=52 = 25

For the square with side 3: Area=32 = 9

For the square with side 1: Area=12 = 1

The shaded areas are:
1. The outermost shaded region: This is the part of the largest square that is not occupied by the second- largest square.
49 - 25 = 24
2. The innermost shaded region: This is the part of the third-largest square that is not occupied by the smallest square.
89 - 1 = 8
Total shaded area (r):
24 + 8 = 32
The unshaded areas are:
1. The middle unshaded region: This is the part of the second-largest square that is not occupied by the third- largest square.
25 - 9 = 16
2. The smallest unshaded region: This is simply the area of the smallest square ­ 1

Total unshaded area (s):
16 + 1 = 17
The areas of the shaded regions sum to 32, while the areas of the unshaded regions sum to 17. The ratio of r to s is therefore 32 to 17.



A certain box is in the shape of a cube. If the length of one edge of the box is 11 centimeters, what is the total surface area, in square centimeters, of the box?

  1. 121
  2. 132
  3. 484
  4. 726
  5. 1,331

Answer(s): D

Explanation:

Surface Area = 6 × (side length)2
Surface Area = 6 × 112 = 6 × 121 = 726 square centimeters





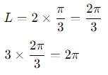
In the figure above, AB, CD, and EF are circular arcs of radius 2, centered at the vertices of the triangle.
What is the sum of the lengths of the three arcs?

  1. 6
  2. 4

  3. 2

Answer(s): D

Explanation:

The figure shows a triangle with three circular arcs: AB, CD, and EF, each having a radius of 2 and centered at the triangle's vertices.
Each arc subtends an angle of 60° (or /3 radians) at its respective center because the triangle appears to be an equilateral triangle where each internal angle is 60°.
The length of a circular arc is given by:

L = r where r is the radius and is the central angle in radians.





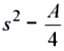
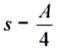
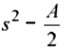
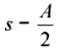
Two identical squares with sides of length s are oriented as shown in the figure so that all the shaded triangular regions have the same area. If the sum of the areas of the shaded regions is A, what is the area of the unshaded region, in terms of s and A?





  1. s2 - A

Answer(s): E

Explanation:

Each square has a side length of s, so the area of one square is:
Area of one square = s2
Since there are two identical squares, the total area before overlapping is:
Total area of two squares = 2s2

However, when the squares overlap, we must adjust for the shared central region.
The shaded regions (A) represent the areas outside the overlapping region.
The unshaded region consists of the central part where the squares overlap.
Since the total area of the two squares includes both the unshaded and shaded parts, the unshaded region is simply:
Unshaded Region = Total area of one square - Shaded Area
Since the overlap is fully within one square, the formula simplifies to:
s2 - A





In the figure shown, the area of the circular region is approximately 50 percent of the area of the shaded region. The area of the rectangular region is approximately what percent of the area of the circular region?

  1. 33%
  2. 75%
  3. 100%
  4. 150%
  5. 300%

Answer(s): E

Explanation:

Acircle = 0.5 × Ashaded
Ashaded = 2 × Acircle
Arectangle = Ashaded + Acircle
Arectangle = 2Acircle + Acircle
Arectangle = 3Acircle



3 × 100 = 300%



Share your comments for GRE GRE Test exam with other users:

P
Pankaj
7/3/2023 3:57:00 AM

hi team, please upload this , i need it.

D
DN
9/4/2023 11:19:00 PM

question 14 - run terraform import: this is the recommended best practice for bringing manually created or destroyed resources under terraform management. you use terraform import to associate an existing resource with a terraform resource configuration. this ensures that terraform is aware of the resource, and you can subsequently manage it with terraform.

Z
Zhiguang
8/19/2023 11:37:00 PM

please upload dump. thanks in advance.

D
deedee
12/23/2023 5:51:00 PM

great great

A
Asad Khan
11/1/2023 3:10:00 AM

answer 16 should be b your organizational policies require you to use virtual machines directly

S
Sale Danasabe
10/24/2023 5:21:00 PM

the question are kind of tricky of you didnt get the hnag on it.

L
Luis
11/16/2023 1:39:00 PM

can anyone tell me if this is for rhel8 or rhel9?

H
hik
1/19/2024 1:47:00 PM

good content

B
Blessious Phiri
8/15/2023 2:18:00 PM

pdb and cdb are critical to the database

Z
Zuned
10/22/2023 4:39:00 AM

till 104 questions are free, lets see how it helps me in my exam today.

M
Muhammad Rawish Siddiqui
12/3/2023 12:11:00 PM

question # 56, answer is true not false.

A
Amaresh Vashishtha
8/27/2023 1:33:00 AM

i would be requiring dumps to prepare for certification exam

A
Asad
9/8/2023 1:01:00 AM

very helpful

B
Blessious Phiri
8/13/2023 3:10:00 PM

control file is the heart of rman backup

S
Senthil
9/19/2023 5:47:00 AM

hi could you please upload the ibm c2090-543 dumps

H
Harry
6/27/2023 7:20:00 AM

appriciate if you could upload this again

A
Anonymous
7/10/2023 4:10:00 AM

please upload the dump

R
Raja
6/20/2023 5:30:00 AM

i found some questions answers mismatch with explanation answers. please properly update

D
Doora
11/30/2023 4:20:00 AM

nothing to mention

D
deally
1/19/2024 3:41:00 PM

knowable questions

S
Sonia
7/23/2023 4:03:00 PM

very helpfull

B
binEY
10/6/2023 5:15:00 AM

good questions

N
Neha
9/28/2023 1:58:00 PM

its helpful

D
Desmond
1/5/2023 9:11:00 PM

i just took my oracle exam and let me tell you, this exam dumps was a lifesaver! without them, iam not sure i would have passed. the questions were tricky and the answers were obscure, but the exam dumps had everything i needed. i would recommend to anyone looking to pass their oracle exams with flying colors (and a little bit of cheating) lol.

D
Davidson OZ
9/9/2023 6:37:00 PM

22. if you need to make sure that one computer in your hot-spot network can access the internet without hot-spot authentication, which menu allows you to do this? answer is ip binding and not wall garden. wall garden allows specified websites to be accessed with users authentication to the hotspot

3
381
9/2/2023 4:31:00 PM

is question 1 correct?

L
Laurent
10/6/2023 5:09:00 PM

good content

S
Sniper69
5/9/2022 11:04:00 PM

manged to pass the exam with this exam dumps.

D
Deepak
12/27/2023 2:37:00 AM

good questions

D
dba
9/23/2023 3:10:00 AM

can we please have the latest exam questions?

P
Prasad
9/29/2023 7:27:00 AM

please help with jn0-649 latest dumps

G
GTI9982
7/31/2023 10:15:00 PM

please i need this dump. thanks

E
Elton Riva
12/12/2023 8:20:00 PM

i have to take the aws certified developer - associate dva-c02 in the next few weeks and i wanted to know if the questions on your website are the same as the official exam.

B
Berihun Desalegn Wonde
7/13/2023 11:00:00 AM

all questions are more important

AI Tutor 👋 I’m here to help!