GRE GRE Test Exam (page: 13)
GRE Graduate Record Examination Test: Verbal, Quantitative, Analytical Writing
Updated on: 15-Feb-2026

Viewing Page 13 of 75

A survey of 500 households found that 450 households had a microwave oven, 300 had a food processor, and 150 had a trash compactor. Each of the 500 households had at least one of the appliances, and more than 100 households had all three appliances.
Which of the following could be the number of households that had a food processor and a trash compactor but no microwave oven? (Choose all that apply.)

  1. 5
  2. 35
  3. 50
  4. 65
  5. 100

Answer(s): A,B,C,D,E

Explanation:

Let:
M be the number of households with a microwave.

F be the number of households with a food processor.

T be the number of households with a trash compactor.

x be the number of households that have all three appliances. We know that x > 100.

Total households = |M| + |F| + |T| - (Households with exactly two appliances) - 2x.
500 = 450 + 300 + 150 - (Households with exactly two appliances) - 2x.
500 = 900 - (Households with exactly two appliances) - 2x.
Households with exactly two appliances + 2x = 400.
The households with exactly two appliances consist of:
Households with a microwave and a food processor only.

Households with a microwave and a trash compactor only.

Households with a food processor and a trash compactor only, which we denote as y.

Since we know that the total of all these must be 400 - 2x, we solve:
y 400 - 2(100), since x > 100.
y 200.
Now we check the answer choices: 5, 35, 50, 65, and 100. Since all these values are less than or equal to 200, they are all valid possibilities.



FILL BLANK

A square plot of land has the same perimeter as a rectangular plot of land that measures 25 meters by 35 meters. If both plots of land are level, what is the area of the square plot of land? (Enter your answer as an integer or a decimal in the answer box. Backspace to erase.)

  1. 900

Answer(s): A

Explanation:

The perimeter P of a rectangle is given by the formula:

P = 2 × (length + width)

For the rectangular plot, the length is 25 meters and the width is 35 meters. So, the perimeter of the rectangular plot is:

P = 2 × (25 + 35) = 2 × 60 = 120 meters

The perimeter of the square is the same as the perimeter of the rectangular plot, which is 120 meters. The perimeter of a square is given by:

P = 4 × side length

Let the side length of the square be s. Since the perimeter is 120 meters, we have:

4 × s = 120



The area A of a square is given by:

A = s2

A = 302 = 900 square meters



FILL BLANK

An apple falls straight to the ground from a tree branch 8 meters above the ground. The apple's height above the ground, t seconds after it starts falling, is H meters, where H = 8 - 4.9t2 and t 0. How many seconds after the apple starts falling does it hit the ground?

Give your answer to the nearest 0.1 second. (Enter your answer as an integer or a decimal in the answer box.
Backspace to erase.)

  1. 1.3

Answer(s): A

Explanation:

H = 8 - 4.9t2, where t is the number of seconds after the apple starts falling.

The apple hits the ground when H = 0, so we set up the equation:

8 - 4.9t2 = 0
4.9t2 = 8



t 1.28

Rounding 1.28 to the nearest 0.1, we get 1.3 seconds.



FILL BLANK

A lecture hall has 15 rows of seats. There are n - 2 seats in the first row and n seats in each of the other rows. If there are no other seats in the lecture hall and the total number of seats in the lecture hall is between 180 and 200, what is the total number of seats in the lecture hall? (Enter your answer as an integer or a decimal in the answer box. Backspace to erase.)

  1. 193

Answer(s): A

Explanation:

The lecture hall has 15 rows of seats.

The first row has n - 2 seats.

Each of the other 14 rows has n seats.

The total number of seats, T, can be calculated as:

T = (n - 2) + 14n
T = (n - 2) + 14n = 15n - 2

We are told that the total number of seats, T, is between 180 and 200:

180 < 15n - 2 < 200
182 < 15n < 202



12.13 < n < 13.47

Since n must be an integer, the only possible value for n is 13.

Substitute n = 13 into the equation for the total number of seats:

T = 15(13) - 2 = 195 - 2 = 193



FILL BLANK

The integer n is greater than 1, and set S = {5 - n, 5 - n2, 5 + n). If the difference between the greatest number in S and the least number in S is 72, what is the value of n? (Enter your answer as an integer or a decimal in the answer box. Backspace to erase.)

  1. 8

Answer(s): A

Explanation:

To determine the greatest and least numbers in the set, we need to compare the three values:

5 - n

5 - n2

5 + n

We know that the greatest number will have the highest value, and the least number will have the lowest value.

Since n is greater than 1, we will try different values of n to find the one that satisfies the condition that the difference between the greatest and least numbers is 72.

Try n = 9:

The three numbers in the set are:

5 - n = 5 - 9 = -4

5 - n2 = 5 - 92 = 5 - 81 = -76

5 + n = 5 + 9 = 14

The greatest number is 14, and the least number is -76. The difference is:

14 - (-76) = 14 + 76 = 90

Since this is not 72, n = 9 is not the correct value.

Try n = 8:

The three numbers in the set are:

5 - n = 5 - 8 = -3

5 - n2 = 5 - 82 = 5 - 64 = -59

5 + n = 5 + 8 = 13

The greatest number is 13, and the least number is -59. The difference is:

13 - (-59) = 13 + 59 = 72

This is the correct difference. Thus, the value of n is 8.



FILL BLANK

Last year the value of one share of a stock increased by 10 percent during the first half of the year, and the value of one share of the stock increased by 50 percent during the entire year.
What was the percent increase in the value of one share of the stock during the second half of the year?

Give your answer to the nearest whole percent. (Enter your answer as an integer or a decimal in the answer box. Backspace to erase.)

  1. 36

Answer(s): A

Explanation:

In the first half of the year, the value of the stock increased by 10 percent. So, the value of the stock at the end of the first half of the year is:

Value after first half = x + 0.10x = 1.10x

The value of the stock increased by 50 percent during the entire year, so the value of the stock at the end of the year is:

Value after second half = x + 0.50x = 1.50x

The value at the end of the first half is 1.10x, and the value at the end of the year is 1.50x. The increase during the second half of the year is:

Increase during second half = 1.50x - 1.10x = 0.40x

The percent increase during the second half of the year is:



Rounding to the nearest whole percent, the percent increase in the value of one share of the stock during the second half of the year is 36 percent.



FILL BLANK



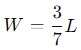
The width of rectangle R is of the length. If the area of R is 84, what is the perimeter of R? (Enter your answer as an integer or a decimal in the answer box. Backspace to erase.)

  1. 40

Answer(s): A

Explanation:

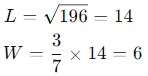
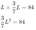
Let the length of rectangle R be L, and the width be W. We are told that:



The area of the rectangle is given as 84, so:

Area = L × W = 84



3L2 = 588

L2 = 196



The perimeter P of a rectangle is given by:

P = 2L + 2W

P = 2(14) + 2(6) = 28 + 12 = 40



FILL BLANK

Greg's weekly salary is $187, which is 15 percent less than Karla's weekly salary. If Karla's weekly salary increases by 10 percent, by what percent must Greg's weekly salary increase in order to equal Karla's new weekly salary?

Give your answer to the nearest tenth of a percent. (Enter your answer as an integer or a decimal in the answer box. Backspace to erase.)

  1. 29.4

Answer(s): A

Explanation:

Since Greg's salary is 15% less than Karla's salary, let Karla's original salary be K. This means:

Greg's salary = Karla's salary - 15% of Karla's salary

187 = K - 0.15K

187 = 0.85K
K = 220

Karla's salary increases by 10%, so her new salary is:

New Karla's salary = 220 + 10% of 220

220 + (0.10 × 220) = 220 + 22 = 242

Greg's salary must increase from 187 to 242. The percentage increase is:



Viewing Page 13 of 75



Share your comments for GRE GRE Test exam with other users:

Varun 10/29/2023 9:11:00 PM

great question
Anonymous


Doc 10/29/2023 9:36:00 PM

question: a user wants to start a recruiting posting job posting. what must occur before the posting process can begin? 3 ans: comment- option e is incorrect reason: as part of enablement steps, sap recommends that to be able to post jobs to a job board, a user need to have the correct permission and secondly, be associated with one posting profile at minimum
UNITED KINGDOM


It‘s not A 9/17/2023 5:31:00 PM

answer to question 72 is d [sys_user_role]
Anonymous


indira m 8/14/2023 12:15:00 PM

please provide the pdf
UNITED STATES


ribrahim 8/1/2023 6:05:00 AM

hey guys, just to let you all know that i cleared my 312-38 today within 1 hr with 100 questions and passed. thank you so much brain-dumps.net all the questions that ive studied in this dump came out exactly the same word for word "verbatim". you rock brain-dumps.net!!! section name total score gained score network perimeter protection 16 11 incident response 10 8 enterprise virtual, cloud, and wireless network protection 12 8 application and data protection 13 10 network défense management 10 9 endpoint protection 15 12 incident d
SINGAPORE


Andrew 8/23/2023 6:02:00 PM

very helpful
Anonymous


latha 9/7/2023 8:14:00 AM

useful questions
GERMANY


ibrahim 11/9/2023 7:57:00 AM

page :20 https://exam-dumps.com/snowflake/free-cof-c02-braindumps.html?p=20#collapse_453 q 74: true or false: pipes can be suspended and resumed. true. desc.: pausing or resuming pipes in addition to the pipe owner, a role that has the following minimum permissions can pause or resume the pipe https://docs.snowflake.com/en/user-guide/data-load-snowpipe-intro
FINLAND


Franklin Allagoa 7/5/2023 5:16:00 AM

i want hcia exam dumps
Anonymous


SSA 12/24/2023 1:18:00 PM

good training
Anonymous


BK 8/11/2023 12:23:00 PM

very useful
INDIA


Deepika Narayanan 7/13/2023 11:05:00 PM

yes need this exam dumps
Anonymous


Blessious Phiri 8/15/2023 3:31:00 PM

these questions are a great eye opener
Anonymous


Jagdesh 9/8/2023 8:17:00 AM

thank you for providing these questions and answers. they helped me pass my exam. you guys are great.
CANADA


TS 7/18/2023 3:32:00 PM

good knowledge
Anonymous


Asad Khan 11/1/2023 2:44:00 AM

answer 10 should be a because only a new project will be created & the organization is the same.
Anonymous


Raj 9/12/2023 3:49:00 PM

can you please upload the dump again
UNITED STATES


Christian Klein 6/23/2023 1:32:00 PM

is it legit questions from sap certifications ?
UNITED STATES


anonymous 1/12/2024 3:34:00 PM

question 16 should be b (changing the connector settings on the monitor) pc and monitor were powered on. the lights on the pc are on indicating power. the monitor is showing an error text indicating that it is receiving power too. this is a clear sign of having the wrong input selected on the monitor. thus, the "connector setting" needs to be switched from hdmi to display port on the monitor so it receives the signal from the pc, or the other way around (display port to hdmi).
UNITED STATES


NSPK 1/18/2024 10:26:00 AM

q 10. ans is d (in the target org: open deployment settings, click edit next to the source org. select allow inbound changes and save
Anonymous


mohamed abdo 9/1/2023 4:59:00 AM

very useful
Anonymous


Tom 3/18/2022 8:00:00 PM

i purchased this exam dumps from another website with way more questions but they were all invalid and outdate. this exam dumps was right to the point and all from recent exam. it was a hard pass.
UNITED KINGDOM


Edrick GOP 10/24/2023 6:00:00 AM

it was a good experience and i got 90% in the 200-901 exam.
Anonymous


anonymous 8/10/2023 2:28:00 AM

hi please upload this
Anonymous


Bakir 7/6/2023 7:24:00 AM

please upload it
UNITED KINGDOM


Aman 6/18/2023 1:27:00 PM

really need this dump. can you please help.
UNITED KINGDOM


Neela Para 1/8/2024 6:39:00 PM

really good and covers many areas explaining the answer.
NEW ZEALAND


Karan Patel 8/15/2023 12:51:00 AM

yes, can you please upload the exam?
UNITED STATES


NISHAD 11/7/2023 11:28:00 AM

how many questions are there in these dumps?
UNITED STATES


Pankaj 7/3/2023 3:57:00 AM

hi team, please upload this , i need it.
UNITED STATES


DN 9/4/2023 11:19:00 PM

question 14 - run terraform import: this is the recommended best practice for bringing manually created or destroyed resources under terraform management. you use terraform import to associate an existing resource with a terraform resource configuration. this ensures that terraform is aware of the resource, and you can subsequently manage it with terraform.
Anonymous


Zhiguang 8/19/2023 11:37:00 PM

please upload dump. thanks in advance.
Anonymous


deedee 12/23/2023 5:51:00 PM

great great
UNITED STATES


Asad Khan 11/1/2023 3:10:00 AM

answer 16 should be b your organizational policies require you to use virtual machines directly
Anonymous