College Board SAT-MATHEMATICS Exam (page: 5)
College Board Section Two : Mathematics
Updated on: 25-Dec-2025

Viewing Page 5 of 33

If 0.34 < x < 0.40 and which of the following could be x?

  1. Option A
  2. Option B
  3. Option C
  4. Option D
  5. Option E

Answer(s): C

Explanation:

5/16= 0.3125 and9/20= 0.45;3/8= 0.375 which is between 0.34 and 0.40, and between 0.3125 and 0.45.



A store prices a coat at $85. During a sale, the coat is sold at 20% off. After the sale, the store raises the price of the coat 10% over its sale price. What is the price of the coat now?

  1. $18.70
  2. $61.20
  3. $68.00
  4. $74.80
  5. $93.50

Answer(s): D

Explanation:

20% of $85 = (0.20) ($85) = $17.While on sale, the coat is sold for $85 $17 = $68; 10% of $68 = (0.10) ($68) = $6.80. After the sale, the coat is sold for $68 + $6.80 = $74.80.



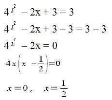
The expression 4x2 2x + 3 is equal to 3 when x = 0 and when x =

  1. Option A
  2. Option B
  3. Option C
  4. Option D
  5. Option E

Answer(s): E

Explanation:

Set the expression 4x2 2x +3equal to 3 and solve for x:



A spinner is divided into eight equal regions, labeled one through eight. If Jenna spins the wheel, what is the probability that she will spin a number that is less than four and greater than two?

  1. Option A
  2. Option B
  3. Option C
  4. Option D
  5. Option E

Answer(s): A

Explanation:

There are three numbers on the wheel that are less than four (1, 2, 3), but only one of those numbers (3) is greater than two. The probability of Jenna spinning a number that is both less than 4 and greater than 2 is1/8.



The length of an edge of a cube is equal to half the height of a cylinder that has a volume of 160 cubic units. If the radius of the cylinder is 4 units, what is the surface area of the cube?

  1. 64 square units
  2. 96 square units
  3. 100 square units
  4. 125 square units
  5. 150 square units

Answer(s): E

Explanation:

The volume of a cylinder is equal to r2h. The volume of the cylinder is 160 and its radius is 4. Therefore, the height of the cylinder is equal to:160 = (4)2h160 = 16hh = 10 The length of an edge of the cube is equal to half the height of the cylinder. The edge of thecubes5 units. The surface area of a cube is equal to 6e2, where e is the length of an edge of the cube. The surface area of the cube = 6(5)2= 6(25) = 150 square units.



Viewing Page 5 of 33



Share your comments for College Board SAT-MATHEMATICS exam with other users:

Tehu 5/25/2023 12:25:00 PM

hi i need see questions
Anonymous


Ashfaq Nasir 1/17/2024 1:19:00 AM

best study material for exam
Anonymous


Roberto 11/27/2023 12:33:00 AM

very interesting repository
ITALY


Nale 9/18/2023 1:51:00 PM

american history 1
Anonymous


Tanvi 9/27/2023 4:02:00 AM

good level of questions
Anonymous


Boopathy 8/17/2023 1:03:00 AM

i need this dump kindly upload it
Anonymous


s_123 8/12/2023 4:28:00 PM

do we need c# coding to be az204 certified
Anonymous


Blessious Phiri 8/15/2023 3:38:00 PM

excellent topics covered
Anonymous


Manasa 12/5/2023 3:15:00 AM

are these really financial cloud questions and answers, seems these are basic admin question and answers
Anonymous


Not Robot 5/14/2023 5:33:00 PM

are these comments real
Anonymous


kriah 9/4/2023 10:44:00 PM

please upload the latest dumps
UNITED STATES


ed 12/17/2023 1:41:00 PM

a company runs its workloads on premises. the company wants to forecast the cost of running a large application on aws. which aws service or tool can the company use to obtain this information? pricing calculator ... the aws pricing calculator is primarily used for estimating future costs
UNITED STATES


Muru 12/29/2023 10:23:00 AM

looks interesting
Anonymous


Tech Lady 10/17/2023 12:36:00 PM

thanks! that’s amazing
Anonymous


Mike 8/20/2023 5:12:00 PM

the exam dumps are helping me get a solid foundation on the practical techniques and practices needed to be successful in the auditing world.
UNITED STATES


Nobody 9/18/2023 6:35:00 PM

q 14 should be dmz sever1 and notepad.exe why does note pad have a 443 connection
Anonymous


Muhammad Rawish Siddiqui 12/4/2023 12:17:00 PM

question # 108, correct answers are business growth and risk reduction.
SAUDI ARABIA


Emmah 7/29/2023 9:59:00 AM

are these valid chfi questions
KENYA


Mort 10/19/2023 7:09:00 PM

question: 162 should be dlp (b)
EUROPEAN UNION


Eknath 10/4/2023 1:21:00 AM

good exam questions
INDIA


Nizam 6/16/2023 7:29:00 AM

I have to say this is really close to real exam. Passed my exam with this.
EUROPEAN UNION


poran 11/20/2023 4:43:00 AM

good analytics question
Anonymous


Antony 11/23/2023 11:36:00 AM

this looks accurate
INDIA


Ethan 8/23/2023 12:52:00 AM

question 46, the answer should be data "virtualization" (not visualization).
Anonymous


nSiva 9/22/2023 5:58:00 AM

its useful.
UNITED STATES


Ranveer 7/26/2023 7:26:00 PM

Pass this exam 3 days ago. The PDF version and the Xengine App is quite useful.
SOUTH AFRICA


Sanjay 8/15/2023 10:22:00 AM

informative for me.
UNITED STATES


Tom 12/12/2023 8:53:00 PM

question 134s answer shoule be "dlp"
JAPAN


Alex 11/7/2023 11:02:00 AM

in 72 the answer must be [sys_user_has_role] table.
Anonymous


Finn 5/4/2023 10:21:00 PM

i appreciated the mix of multiple-choice and short answer questions. i passed my exam this morning.
IRLAND


AJ 7/13/2023 8:33:00 AM

great to find this website, thanks
UNITED ARAB EMIRATES


Curtis Nakawaki 6/29/2023 9:11:00 PM

examination questions seem to be relevant.
UNITED STATES


Umashankar Sharma 10/22/2023 9:39:00 AM

planning to take psm test
Anonymous


ED SHAW 7/31/2023 10:34:00 AM

please allow to download
UNITED STATES