College Board SAT-MATHEMATICS Exam (page: 3)
College Board Section Two : Mathematics
Updated on: 09-Feb-2026

Viewing Page 3 of 33

The volume of a glass of water placed in the sun decreases by 20%. If there are 240 mL of water in the glass now, what was the original volume of water in the glass?

  1. 192ml
  2. 260ml
  3. 288ml
  4. 300ml
  5. 360ml

Answer(s): D

Explanation:

The original volume of water, x, minus 20% of x, 0.20x, is equal to the current volume of water, 240ml:



What is the tenth term of the pattern below?

  1. Option A
  2. Option B
  3. Option C
  4. Option D
  5. Option E

Answer(s): E

Explanation:

Each term in the pattern is equal to the fraction2/3raised to an exponent that is equal to the position of the term in the sequence. The first term in the sequence is equal to , the second term is equal to



How does the area of a rectangle change if both the base and the height of the original rectangle are tripled?

  1. The area is tripled.
  2. The area is six times larger.
  3. The area is nine times larger.
  4. The area remains the same.
  5. The area cannot be determined.

Answer(s): C

Explanation:



The equation is undefined when

  1. 9.
  2. 2.
  3. 6.
  4. 0.
  5. 9.

Answer(s): A

Explanation:

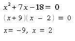
An equation is undefined when the value of a denominator in the equation is equal to zero. Set x2 7x +18 equal to zero and factor the quadratic to find its roots:




In the diagram above, angle A is congruent to angle BED, and angle C is congruent to angle D. If the ratio
of the length of AB to the length of EB is 5:1, and the area of triangle BED = 5 + 10, what is area of triangle ABC?

  1. 5a2+ 10
  2. 25a2+ 50
  3. 25a2+ 100
  4. 125a2+ 250
  5. cannot be determined

Answer(s): D

Explanation:

Triangles ABC and BED have two pairs of congruent angles. Therefore, the third pair of angles must be congruent, which makes these triangles similar. If the area of the smaller triangle, BED, is equal to , then the area of the larger triangle, ABC, is equal to or25 . The area of

triangle ABC is 25 times larger than the area of triangle BED. Multiply the area of triangle BED by 25:

25(5a2+ 10) = 125a2+ 250.



Viewing Page 3 of 33



Share your comments for College Board SAT-MATHEMATICS exam with other users:

Anil 7/18/2023 9:38:00 AM

nice questions
Anonymous


Chris 8/26/2023 1:10:00 AM

looking for c1000-158: ibm cloud technical advocate v4 questions
Anonymous


sachin 6/27/2023 1:22:00 PM

can you share the pdf
Anonymous


Blessious Phiri 8/13/2023 10:26:00 AM

admin ii is real technical stuff
Anonymous


Luis Manuel 7/13/2023 9:30:00 PM

could you post the link
UNITED STATES


vijendra 8/18/2023 7:54:00 AM

hello send me dumps
Anonymous


Simeneh 7/9/2023 8:46:00 AM

it is very nice
Anonymous


john 11/16/2023 5:13:00 PM

i gave the amazon dva-c02 tests today and passed. very helpful.
Anonymous


Tao 11/20/2023 8:53:00 AM

there is an incorrect word in the problem statement. for example, in question 1, there is the word "speci c". this is "specific. in the other question, there is the word "noti cation". this is "notification. these mistakes make this site difficult for me to use.
Anonymous


patricks 10/24/2023 6:02:00 AM

passed my az-120 certification exam today with 90% marks. studied using the dumps highly recommended to all.
Anonymous


Ananya 9/14/2023 5:17:00 AM

i need it, plz make it available
UNITED STATES


JM 12/19/2023 2:41:00 PM

q47: intrusion prevention system is the correct answer, not patch management. by definition, there are no patches available for a zero-day vulnerability. the way to prevent an attacker from exploiting a zero-day vulnerability is to use an ips.
UNITED STATES


Ronke 8/18/2023 10:39:00 AM

this is simple but tiugh as well
Anonymous


CesarPA 7/12/2023 10:36:00 PM

questão 4, segundo meu compilador local e o site https://www.jdoodle.com/online-java-compiler/, a resposta correta é "c" !
UNITED STATES


Jeya 9/13/2023 7:50:00 AM

its very useful
INDIA


Tracy 10/24/2023 6:28:00 AM

i mastered my skills and aced the comptia 220-1102 exam with a score of 920/1000. i give the credit to for my success.
Anonymous


James 8/17/2023 4:33:00 PM

real questions
UNITED STATES


Aderonke 10/23/2023 1:07:00 PM

very helpful assessments
UNITED KINGDOM


Simmi 8/24/2023 7:25:00 AM

hi there, i would like to get dumps for this exam
AUSTRALIA


johnson 10/24/2023 5:47:00 AM

i studied for the microsoft azure az-204 exam through it has 100% real questions available for practice along with various mock tests. i scored 900/1000.
GERMANY


Manas 9/9/2023 1:48:00 AM

please upload 1z0-1072-23 exam dups
UNITED STATES


SB 9/12/2023 5:15:00 AM

i was hoping if you could please share the pdf as i’m currently preparing to give the exam.
Anonymous


Jagjit 8/26/2023 5:01:00 PM

i am looking for oracle 1z0-116 exam
UNITED STATES


S Mallik 11/27/2023 12:32:00 AM

where we can get the answer to the questions
Anonymous


PiPi Li 12/12/2023 8:32:00 PM

nice questions
NETHERLANDS


Dan 8/10/2023 4:19:00 PM

question 129 is completely wrong.
UNITED STATES


gayathiri 7/6/2023 12:10:00 AM

i need dump
UNITED STATES


Deb 8/15/2023 8:28:00 PM

love the site.
UNITED STATES


Michelle 6/23/2023 4:08:00 AM

can you please upload it back?
Anonymous


Ajay 10/3/2023 12:17:00 PM

could you please re-upload this exam? thanks a lot!
Anonymous


him 9/30/2023 2:38:00 AM

great about shared quiz
Anonymous


San 11/14/2023 12:46:00 AM

goood helping
Anonymous


Wang 6/9/2022 10:05:00 PM

pay attention to questions. they are very tricky. i waould say about 80 to 85% of the questions are in this exam dump.
UNITED STATES


Mary 5/16/2023 4:50:00 AM

wish you would allow more free questions
Anonymous