College Board SAT-MATHEMATICS Exam (page: 1)
College Board Section Two : Mathematics
Updated on: 25-Sep-2025

Viewing Page 1 of 33

Rob has six songs on his portable music player. How many different four-song orderings can Rob create?

  1. 30
  2. 60
  3. 120
  4. 360
  5. 720

Answer(s): D

Explanation:

The order of the four songs is important. The orderings A, B, C, D and A, C, B, D contain the same four songs, but in different orders. Both orderings must be counted. The number of six-choose-four orderings is equal to (6)(5)(4)(3)= 360.



The statement "Raphael runs every Sunday" is always true. Which of the following statements is also true?

  1. If Raphael does not run, then it is not Sunday.
  2. If Raphael runs, then it is Sunday.
  3. If it is not Sunday, then Raphael does not run.
  4. If it is Sunday, then Raphael does not run.
  5. If it is Sunday, it is impossible to determine if Raphael runs.

Answer(s): A

Explanation:

The statement "Raphael runs every Sunday" is equivalent to "If it is Sunday, Raphael runs." The contrapositive of a true statement is also true. The contrapositive of "If it is Sunday, Raphael runs" is "If Raphael does not run, it is not Sunday."




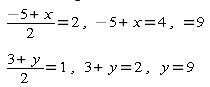
In the diagram above, lines EF and GH are parallel, and line AB is perpendicular to lines EF and GH.
What is the length of line AB?

  1. 5
  2. 52
  3. 53
  4. 102
  5. 103

Answer(s): C

Explanation:

Line AB is perpendicular to line BC, which makes triangle ABC a right triangle. Angles DAF and DCH are alternating angles--angles made by a pair of parallel lines cut by a transversal. Angle DAF angle DCH, therefore, angle DCH = 120 degrees. Angles DCH and ACB form a line. There are 180 degrees in a line, so the measure of angle ACB = 180 120 = 60 degrees. Triangle ABC is a 30-60-90 right triangle, which means that the length of the hypotenuse, AC, is equal to twice the length of the leg opposite the 30-degree angle, BC. Therefore, the length of BC is10/2, or 5. The length of the leg opposite the 60-
degree angle, AB, is3times the length of the other leg, BC. Therefore, the length of AB is.



The expression is equivalent to

  1. Option A
  2. Option B
  3. Option C
  4. Option D
  5. Option E

Answer(s): C

Explanation:

Factor the numerator and denominator and cancel like factors:



The point (2, 1) is the midpoint of a line with endpoints at (5, 3) and

  1. (3, 4)
  2. (7, 2)
  3. (7, 1)
  4. (9, 1)
  5. (10, 3)

Answer(s): D

Explanation:

The midpoint of a line is equal to the average x-coordinates and the average y-coordinates of the line's endpoints:


The other endpoint of this line is at (9, 1).



Viewing Page 1 of 33



Share your comments for College Board SAT-MATHEMATICS exam with other users:

NSPK 1/18/2024 10:26:00 AM

q 10. ans is d (in the target org: open deployment settings, click edit next to the source org. select allow inbound changes and save
Anonymous


mohamed abdo 9/1/2023 4:59:00 AM

very useful
Anonymous


Tom 3/18/2022 8:00:00 PM

i purchased this exam dumps from another website with way more questions but they were all invalid and outdate. this exam dumps was right to the point and all from recent exam. it was a hard pass.
UNITED KINGDOM


Edrick GOP 10/24/2023 6:00:00 AM

it was a good experience and i got 90% in the 200-901 exam.
Anonymous


anonymous 8/10/2023 2:28:00 AM

hi please upload this
Anonymous


Bakir 7/6/2023 7:24:00 AM

please upload it
UNITED KINGDOM


Aman 6/18/2023 1:27:00 PM

really need this dump. can you please help.
UNITED KINGDOM


Neela Para 1/8/2024 6:39:00 PM

really good and covers many areas explaining the answer.
NEW ZEALAND


Karan Patel 8/15/2023 12:51:00 AM

yes, can you please upload the exam?
UNITED STATES


NISHAD 11/7/2023 11:28:00 AM

how many questions are there in these dumps?
UNITED STATES


Pankaj 7/3/2023 3:57:00 AM

hi team, please upload this , i need it.
UNITED STATES


DN 9/4/2023 11:19:00 PM

question 14 - run terraform import: this is the recommended best practice for bringing manually created or destroyed resources under terraform management. you use terraform import to associate an existing resource with a terraform resource configuration. this ensures that terraform is aware of the resource, and you can subsequently manage it with terraform.
Anonymous


Zhiguang 8/19/2023 11:37:00 PM

please upload dump. thanks in advance.
Anonymous


deedee 12/23/2023 5:51:00 PM

great great
UNITED STATES


Asad Khan 11/1/2023 3:10:00 AM

answer 16 should be b your organizational policies require you to use virtual machines directly
Anonymous


Sale Danasabe 10/24/2023 5:21:00 PM

the question are kind of tricky of you didnt get the hnag on it.
Anonymous


Luis 11/16/2023 1:39:00 PM

can anyone tell me if this is for rhel8 or rhel9?
UNITED STATES


hik 1/19/2024 1:47:00 PM

good content
UNITED STATES


Blessious Phiri 8/15/2023 2:18:00 PM

pdb and cdb are critical to the database
Anonymous


Zuned 10/22/2023 4:39:00 AM

till 104 questions are free, lets see how it helps me in my exam today.
UNITED STATES


Muhammad Rawish Siddiqui 12/3/2023 12:11:00 PM

question # 56, answer is true not false.
SAUDI ARABIA


Amaresh Vashishtha 8/27/2023 1:33:00 AM

i would be requiring dumps to prepare for certification exam
Anonymous


Asad 9/8/2023 1:01:00 AM

very helpful
PAKISTAN


Blessious Phiri 8/13/2023 3:10:00 PM

control file is the heart of rman backup
Anonymous


Senthil 9/19/2023 5:47:00 AM

hi could you please upload the ibm c2090-543 dumps
Anonymous


Harry 6/27/2023 7:20:00 AM

appriciate if you could upload this again
AUSTRALIA


Anonymous 7/10/2023 4:10:00 AM

please upload the dump
SWEDEN


Raja 6/20/2023 5:30:00 AM

i found some questions answers mismatch with explanation answers. please properly update
UNITED STATES


Doora 11/30/2023 4:20:00 AM

nothing to mention
Anonymous


deally 1/19/2024 3:41:00 PM

knowable questions
UNITED STATES


Sonia 7/23/2023 4:03:00 PM

very helpfull
UNITED STATES


binEY 10/6/2023 5:15:00 AM

good questions
Anonymous


Neha 9/28/2023 1:58:00 PM

its helpful
Anonymous


Desmond 1/5/2023 9:11:00 PM

i just took my oracle exam and let me tell you, this exam dumps was a lifesaver! without them, iam not sure i would have passed. the questions were tricky and the answers were obscure, but the exam dumps had everything i needed. i would recommend to anyone looking to pass their oracle exams with flying colors (and a little bit of cheating) lol.
SINGAPORE