GMAT GMAT SECTION 2: QUANTITATIVE Exam (page: 16)
GMAT Section 2: Quantitative
Updated on: 25-Dec-2025

Susan spent one-third of her money on books and half of the remaining money on clothing. She then spent three-fourths of what she had left on food. She had $5 left over. How much money did she start with?

  1. $60
  2. $80
  3. $120
  4. $160
  5. $180

Answer(s): A

Explanation:

Start with the money she had left and work backwards. If she had $5 left over, and had just spent three-fourths of her money on food, then $5 must be one-fourth of her money. Before buying food she must have had 5 × 4 = $20. She then spent half of her money on clothes; therefore, $20 was half of her money, giving her $40 at this point. She then spent one-third of her money on books and had $40 left over. If $40 represents two-thirds of her money, then $60 must be the amount she began with.



A truck travels 20 miles due north, 30 miles due east, and then 20 miles due north. How many miles is the truck from the starting point?

  1. 20.3
  2. 70
  3. 44.7
  4. 50
  5. 120

Answer(s): D

Explanation:

Draw a diagram to show the path of the truck.


The distance between the starting point and the final destination is a diagonal line. This line is the hypotenuse of a right triangle that has one leg of 40 and the other measuring 30. Use the Pythagorean theorem: a2 + b2 = c2. Recall, however, that this is a multiple of the most common Pythagorean triple (3, 4, 5) — namely, 30, 40, 50. The distance is 50 miles.



A rectangular swimming pool is 20 feet by 28 feet. A deck that has uniform width surrounds the pool. The total area of the pool and deck is 884 square feet. What is the width of the deck?

  1. 2 feet
  2. 2.5 feet
  3. 3 feet
  4. 4 feet
  5. 5 feet

Answer(s): C

Explanation:

Since we are trying to find the width of the deck, let x = the width of the deck. Therefore, x + x + 20 or 2x + 20 is the width of the entire figure. In the same way, x + x + 28 or 2x + 28 is the length of the entire figure.
The area of a rectangle is length × width, so use A = l × w.
Substitute into the equation: 884 = (2x + 20)(2x + 28)
Multiply using FOIL: 884 = 4x2 + 56x + 40x + 560
Combine like terms: 884 = 4x2 + 96x + 560
Subtract 884 from both sides: 884 – 884 = 4x2 + 96x + 560 – 884
0 = 4x2 + 96x – 324
Divide each term by 4: 0 = x2 + 24x – 81
Factor the trinomial: 0 = (x + 27)(x – 3)
Set each factor equal to zero and solve: x + 27 = 0 or x – 3 = 0
x = –27 x = 3
Since we are solving for a length, the solution of –27 must be rejected. The width of the deck is 3 feet.



If a person randomly guesses on each question of a test with n questions, what is the probability of guessing half of the questions correctly if each question has five possible answer choices?

  1. 5n
  2. 1 5/2n
  3. 1 1/5 2n
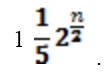
  4. 1 1/5 2n/2
  5. 1 1/5 22n

Answer(s): D

Explanation:

If you are randomly guessing with five possible answer choices, the probability of guessing correct is 1 out of 5, or 1/5. Since the test has n number of questions and we want to get half of them correct, we want this to happen n/2 times. Therefore, the probability would be 1/5 times itself n/2 times, or



Two integers are in the ratio of 1 to 4. If 6 is added to the smaller number, the ratio becomes 1 to 2. Find the larger integer.

  1. 4
  2. 6
  3. 12
  4. 24
  5. 30

Answer(s): D

Explanation:

Let x = the smaller integer. The ratio of 1 to 4 can be written as 1x to 4x or . Add 6 to the smaller integer, set the ratio equal to 1/2, and solve. . Cross-multiply to get 2x + 12 = 4x. Subtract 2x from both sides of the equation. 2x – 2x + 12 = 4x – 2x. 12 = 2x, so 6 = x. If the smaller integer is 6, then the larger integer is 6 × 4 = 24.



Viewing Page 16 of 147



Share your comments for GMAT GMAT SECTION 2: QUANTITATIVE exam with other users:

exampei 8/7/2023 8:05:00 AM

please upload c_tadm_23 exam
TURKEY


Anonymous 9/12/2023 12:50:00 PM

can we get tdvan4 vantage data engineering pdf?
UNITED STATES


Aish 10/11/2023 5:51:00 AM

want to clear the exam.
INDIA


Smaranika 6/22/2023 8:42:00 AM

could you please upload the dumps of sap c_sac_2302
INDIA


Blessious Phiri 8/15/2023 1:56:00 PM

asm management configuration is about storage
Anonymous


Lewis 7/6/2023 8:49:00 PM

kool thumb up
UNITED STATES


Moreece 5/15/2023 8:44:00 AM

just passed the az-500 exam this last friday. most of the questions in this exam dumps are in the exam. i bought the full version and noticed some of the questions which were answered wrong in the free version are all corrected in the full version. this site is good but i wish the had it in an interactive version like a test engine simulator.
Anonymous


Terry 5/24/2023 4:41:00 PM

i can practice for exam
Anonymous


Emerys 7/29/2023 6:55:00 AM

please i need this exam.
Anonymous


Goni Mala 9/2/2023 12:27:00 PM

i need the dump
Anonymous


Lenny 9/29/2023 11:30:00 AM

i want it bad, even if cs6 maybe retired, i want to learn cs6
HONG KONG


MilfSlayer 12/28/2023 8:32:00 PM

i hate comptia with all my heart with their "choose the best" answer format as an argument could be made on every question. they say "the "comptia way", lmao no this right here boys is the comptia way 100%. take it from someone whos failed this exam twice but can configure an entire complex network that these are the questions that are on the test 100% no questions asked. the pbqs are dead on! nice work
Anonymous


Swati Raj 11/14/2023 6:28:00 AM

very good materials
UNITED STATES


Ko Htet 10/17/2023 1:28:00 AM

thanks for your support.
Anonymous


Philippe 1/22/2023 10:24:00 AM

iam impressed with the quality of these dumps. they questions and answers were easy to understand and the xengine app was very helpful to use.
CANADA


Sam 8/31/2023 10:32:00 AM

not bad but you question database from isaca
MALAYSIA


Brijesh kr 6/29/2023 4:07:00 AM

awesome contents
INDIA


JM 12/19/2023 1:22:00 PM

answer to 134 is casb. while data loss prevention is the goal, in order to implement dlp in cloud applications you need to deploy a casb.
UNITED STATES


Neo 7/26/2023 9:36:00 AM

are these brain dumps sufficient enough to go write exam after practicing them? or does one need more material this wont be enough?
SOUTH AFRICA


Bilal 8/22/2023 6:33:00 AM

i did attend the required cources and i need to be sure that i am ready to take the exam, i would ask you please to share the questions, to be sure that i am fit to proceed with taking the exam.
Anonymous


John 11/12/2023 8:48:00 PM

why only give explanations on some, and not all questions and their respective answers?
UNITED STATES


Biswa 11/20/2023 8:50:00 AM

refresh db knowledge
Anonymous


Shalini Sharma 10/17/2023 8:29:00 AM

interested for sap certification
JAPAN


ethan 9/24/2023 12:38:00 PM

could you please upload practice questions for scr exam ?
HONG KONG


vijay joshi 8/19/2023 3:15:00 AM

please upload free oracle cloud infrastructure 2023 foundations associate exam braindumps
Anonymous


Ayodele Talabi 8/25/2023 9:25:00 PM

sweating! they are tricky
CANADA


Romero 3/23/2022 4:20:00 PM

i never use these dumps sites but i had to do it for this exam as it is impossible to pass without using these question dumps.
UNITED STATES


John Kennedy 9/20/2023 3:33:00 AM

good practice and well sites.
Anonymous


Nenad 7/12/2022 11:05:00 PM

passed my first exam last week and pass the second exam this morning. thank you sir for all the help and these brian dumps.
INDIA


Lucky 10/31/2023 2:01:00 PM

does anyone who attended exam csa 8.8, can confirm these questions are really coming ? or these are just for practicing?
HONG KONG


Prateek 9/18/2023 11:13:00 AM

kindly share the dumps
UNITED STATES


Irfan 11/25/2023 1:26:00 AM

very nice content
Anonymous


php 6/16/2023 12:49:00 AM

passed today
Anonymous


Durga 6/23/2023 1:22:00 AM

hi can you please upload questions
Anonymous