Databricks DATABRICKS-CERTIFIED-PROFESSIONAL-DATA-SCIENTIST Exam (page: 5)
Databricks Certified Professional Data Scientist Exam
Updated on: 09-Apr-2026

Select the correct problems which can be solved using SVMs

  1. SVMs are helpful in text and hypertext categorization
  2. Classification of images can also be performed using SVMs
  3. SVMs are also useful in medical science to classify proteins with up to 90% of the compounds classified correctly
  4. Hand-written characters can be recognized using SVM

Answer(s): A,B,C,D

Explanation:

SVMs can be used to solve various real world problems:
· SVMs are helpful in text and hypertext categorization as their application can significantly reduce the need for labeled training instances in both the standard inductive and transductive settings. · Classification of images can also be performed using SVMs. Experimental results show that SVMs achieve significantly higher search accuracy than traditional query refinement schemes after just three to four rounds of relevance feedback.
· SVMs are also useful in medical science to classify proteins with up to 90% of the compounds classified correctly.
· Hand-written characters can be recognized using SVM



Which is an example of supervised learning?

  1. PCA
  2. k-means clustering
  3. SVD
  4. EM
  5. SVM

Answer(s): E

Explanation:

SVMs can be used to solve various real world problems:
· SVMs are helpful in text and hypertext categorization as their application can significantly reduce the need for labeled training instances in both the standard inductive and transductive settings. · Classification of images can also be performed using SVMs. Experimental results show that SVMs achieve significantly higher search accuracy than traditional query refinement schemes after just three to four rounds of relevance feedback.
· SVMs are also useful in medical science to classify proteins with up to 90% of the compounds classified correctly.
· Hand-written characters can be recognized using SVM



Which of the following are point estimation methods?

  1. MAP
  2. MLE
  3. MMSE

Answer(s): A,B,C

Explanation:

Point estimators
· minimum-variance mean-unbiased estimator (MVUE), minimizes the risk (expected loss) of the squared-error loss-function.
· best linear unbiased estimator (BLUE)
· minimum mean squared error (MMSE)
· median-unbiased estimator, minimizes the risk of the absolute-error loss function · maximum likelihood (ML)
· method of moments, generalized method of moments



In statistics, maximum-likelihood estimation (MLE) is a method of estimating the parameters of a statistical model.
When applied to a data set and given a statistical model, maximum-likelihood estimation provides estimates for the model's parameters and the normalizing constant usually ignored in MLEs because

  1. The normalizing constant is always very close to 1
  2. The normalizing constant only has a small impact on the maximum likelihood
  3. The normalizing constant is often zero and can cause division by zero
  4. The normalizing constant doesn't impact the maximizing value

Answer(s): D

Explanation:

(Change the explanation even it is correct)A normalizing constant is positive, and multiplying or dividing a series of values by a positive number does not affect which of them is the largest. Maximum likelihood estimation is concerned only with finding a maximum value, so normalizing constants can be ignored.



Suppose you have been given two Random Variables X and Y, whose joint distribution is already known, the marginal distribution of X is simply the probability distribution of X averaging over information about Y. It is the probability distribution of X when the value of Y is not known. So how do you calculate the marginal distribution of X

  1. This is typically calculated by summing the joint probability distribution over Y.
  2. This is typically calculated by integrating the joint probability distribution over Y
  3. This is typically calculated by summing (In case of discrete variable) the joint probability distribution over Y
  4. This is typically calculated by integrating(ln case of continuous variable) the joint probability distribution over Y.

Answer(s): A,B,C,D

Explanation:

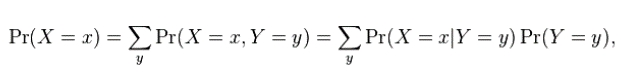
Given two random variables X and Y whose joint distribution is known, the marginal distribution of X is simply the probability distribution of X averaging over information about Y. It is the probability distribution of X when the value of Y is not known. This is typically calculated by summing or integrating the joint probability distribution over Y. ' For discrete random variables, the marginal probability mass function can be written as Pr(X = x).
This is



where Pr(X = x,Y = y) is the joint distribution of X and Y, while Pr(X = x|Y = y) is the conditional distribution of X given Y In this case, the variable Y has been marginalized out. Bivariate marginal and joint probabilities for discrete random variables are often displayed as two- way tables.
Similarly for continuous random variables, the marginal probability density function can be written as pX(x). This is



where pX.Y(x.y) gives the joint distribution of X and Y while pX|Y(x|y) gives the conditional distribution for X given Y Again: the variable Y has been marginalized out.
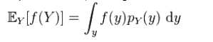
Note that a marginal probability can always be written as an expected value:



Intuitively, the marginal probability of X is computed by examining the conditional probability of X given a particular value of Y, and then averaging this conditional probability over the distribution of all values of Y This follows from the definition of expected value, i.e. in general



Viewing Page 5 of 29



Share your comments for Databricks DATABRICKS-CERTIFIED-PROFESSIONAL-DATA-SCIENTIST exam with other users:

nspk 1/19/2024 12:53:00 AM

q 44. ans:- b (goto setup > order settings > select enable optional price books for orders) reference link --> https://resources.docs.salesforce.com/latest/latest/en-us/sfdc/pdf/sfom_impl_b2b_b2b2c.pdf(decide whether you want to enable the optional price books feature. if so, select enable optional price books for orders. you can use orders in salesforce while managing price books in an external platform. if you’re using d2c commerce, you must select enable optional price books for orders.)
Anonymous


Muhammad Rawish Siddiqui 12/2/2023 5:28:00 AM

"cost of replacing data if it were lost" is also correct.
SAUDI ARABIA


Anonymous 7/14/2023 3:17:00 AM

pls upload the questions
UNITED STATES


Mukesh 7/10/2023 4:14:00 PM

good questions
UNITED KINGDOM


Elie Abou Chrouch 12/11/2023 3:38:00 AM

question 182 - correct answer is d. ethernet frame length is 64 - 1518b. length of user data containing is that frame: 46 - 1500b.
Anonymous


Damien 9/23/2023 8:37:00 AM

i need this exam pls
Anonymous


Nani 9/10/2023 12:02:00 PM

its required for me, please make it enable to access. thanks
UNITED STATES


ethiopia 8/2/2023 2:18:00 AM

seems good..
ETHIOPIA


whoAreWeReally 12/19/2023 8:29:00 PM

took the test last week, i did have about 15 - 20 word for word from this site on the test. (only was able to cram 600 of the questions from this site so maybe more were there i didnt review) had 4 labs, bgp, lacp, vrf with tunnels and actually had to skip a lab due to time. lots of automation syntax questions.
EUROPEAN UNION


vs 9/2/2023 12:19:00 PM

no comments
Anonymous


john adenu 11/14/2023 11:02:00 AM

nice questions bring out the best in you.
Anonymous


Osman 11/21/2023 2:27:00 PM

really helpful
Anonymous


Edward 9/13/2023 5:27:00 PM

question #50 and question #81 are exactly the same questions, azure site recovery provides________for virtual machines. the first says that it is fault tolerance is the answer and second says disater recovery. from my research, it says it should be disaster recovery. can anybody explain to me why? thank you
CANADA


Monti 5/24/2023 11:14:00 PM

iam thankful for these exam dumps questions, i would not have passed without this exam dumps.
UNITED STATES


Anon 10/25/2023 10:48:00 PM

some of the answers seem to be inaccurate. q10 for example shouldnt it be an m custom column?
MALAYSIA


PeterPan 10/18/2023 10:22:00 AM

are the question real or fake?
Anonymous


CW 7/11/2023 3:19:00 PM

thank you for providing such assistance.
UNITED STATES


Mn8300 11/9/2023 8:53:00 AM

nice questions
Anonymous


Nico 4/23/2023 11:41:00 PM

my 3rd purcahse from this site. these exam dumps are helpful. very helpful.
ITALY


Chere 9/15/2023 4:21:00 AM

found it good
Anonymous


Thembelani 5/30/2023 2:47:00 AM

excellent material
Anonymous


vinesh phale 9/11/2023 2:51:00 AM

very helpfull
UNITED STATES


Bhagiii 11/4/2023 7:04:00 AM

well explained.
Anonymous


Rahul 8/8/2023 9:40:00 PM

i need the pdf, please.
CANADA


CW 7/11/2023 2:51:00 PM

a good source for exam preparation
UNITED STATES


Anchal 10/23/2023 4:01:00 PM

nice questions
INDIA


J Nunes 9/29/2023 8:19:00 AM

i need ielts general training audio guide questions
BRAZIL


Ananya 9/14/2023 5:16:00 AM

please make this content available
UNITED STATES


Swathi 6/4/2023 2:18:00 PM

content is good
Anonymous


Leo 7/29/2023 8:45:00 AM

latest dumps please
INDIA


Laolu 2/15/2023 11:04:00 PM

aside from pdf the test engine software is helpful. the interface is user-friendly and intuitive, making it easy to navigate and find the questions.
UNITED STATES


Zaynik 9/17/2023 5:36:00 AM

questions and options are correct, but the answers are wrong sometimes. so please check twice or refer some other platform for the right answer
Anonymous


Massam 6/11/2022 5:55:00 PM

90% of questions was there but i failed the exam, i marked the answers as per the guide but looks like they are not accurate , if not i would have passed the exam given that i saw about 45 of 50 questions from dump
Anonymous


Anonymous 12/27/2023 12:47:00 AM

answer to this question "what administrative safeguards should be implemented to protect the collected data while in use by manasa and her product management team? " it should be (c) for the following reasons: this administrative safeguard involves controlling access to collected data by ensuring that only individuals who need the data for their job responsibilities have access to it. this helps minimize the risk of unauthorized access and potential misuse of sensitive information. while other options such as (a) documenting data flows and (b) conducting a privacy impact assessment (pia) are important steps in data protection, implementing a "need to know" access policy directly addresses the issue of protecting data while in use by limiting access to those who require it for legitimate purposes. (d) is not directly related to safeguarding data during use; it focuses on data transfers and location.
INDIA